电脑桌面
添加小米粒文库到电脑桌面
安装后可以在桌面快捷访问

热学课后习题答案VIP免费

热学课后习题答案_第1页
1/21
热学课后习题答案_第2页
2/21
热学课后习题答案_第3页
3/21
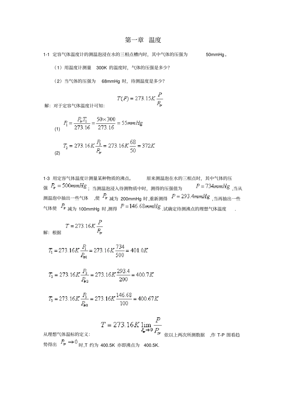
第一章温度1-1定容气体温度计的测温泡浸在水的三相点槽内时,其中气体的压强为50mmHg。(1)用温度计测量300K的温度时,气体的压强是多少?(2)当气体的压强为68mmHg时,待测温度是多少?解:对于定容气体温度计可知:(1)(2)1-3用定容气体温度计测量某种物质的沸点。原来测温泡在水的三相点时,其中气体的压强;当测温泡浸入待测物质中时,测得的压强值为,当从测温泡中抽出一些气体,使减为200mmHg时,重新测得,当再抽出一些气体使减为100mmHg时,测得.试确定待测沸点的理想气体温度.解:根据从理想气体温标的定义:依以上两次所测数据,作T-P图看趋势得出时,T约为400.5K亦即沸点为400.5K.题1-4图1-6水银温度计浸在冰水中时,水银柱的长度为4.0cm;温度计浸在沸水中时,水银柱的长度为24.0cm。(1)在室温时,水银柱的长度为多少?(2)温度计浸在某种沸腾的化学溶液中时,水银柱的长度为25.4cm,试求溶液的温度。解:设水银柱长与温度成线性关系:当时,代入上式当,(1)(2)1-14水银气压计中混进了一个空气泡,因此它的读数比实际的气压小,当精确的气压计的读数为时,它的读数只有。此时管内水银面到管顶的距离为。问当此气压计的读数为时,实际气压应是多少。设空气的温度保持不变。题1-15图解:设管子横截面为S,在气压计读数为和时,管内空气压强分别为和,根据静力平衡条件可知,由于T、M不变根据方程有,而1-25一抽气机转速转/分,抽气机每分钟能够抽出气体,设容器的容积,问经过多少时间后才能使容器的压强由降到。解:设抽气机每转一转时能抽出的气体体积为,则当抽气机转过一转后,容器内的压强由降到,忽略抽气过程中压强的变化而近似认为抽出压强为的气体,因而有,当抽气机转过两转后,压强为当抽气机转过n转后,压强设当压强降到时,所需时间为分,转数1-27把的氮气压入一容积为的容器,容器中原来已充满同温同压的氧气。试求混合气体的压强和各种气体的分压强,假定容器中的温度保持不变。解:根据道尔顿分压定律可知又由状态方程且温度、质量M不变。第二章气体分子运动论的基本概念2-4容积为2500cm3的烧瓶内有1.0×1015个氧分子,有4.0×1015个氮分子和3.3×10-7g的氩气。设混合气体的温度为150℃,求混合气体的压强。解:根据混合气体的压强公式有PV=(N氧+N氮+N氩)KT其中的氩的分子个数:N氩=15231001097.410023.640103.3NM氩氩(个)∴P=(1.0+4.0+4.97)10152231033.225004231038.1Pa41075.1mmHg2-5一容器内有氧气,其压强P=1.0atm,温度为t=27℃,求(1)单位体积内的分子数:(2)氧气的密度;(3)氧分子的质量;(4)分子间的平均距离;(5)分子的平均平动能。解:(1) P=nKT∴n=252351045.23001038.110013.10.1KTPm-3(2)lgRTP/30.1300082.0321(3)m氧=23253103.51045.2103.1ng(4)设分子间的平均距离为d,并将分子看成是半径为d/2的球,每个分子的体积为v0。V0=336)2(34dd∴71931028.41044.266ndcm(5)分子的平均平动能为:14161021.6)27273(1038.12323KT(尔格)2-12气体的温度为T=273K,压强为P=1.00×10-2atm,密度为ρ=1.29×10-5g(1)求气体分子的方均根速率。(2)求气体的分子量,并确定它是什么气体。解:(1)smPRTV/485332(2)molgmolkgPRTnPNA/9.28/109.283m=28.9该气体为空气2-19把标准状态下224升的氮气不断压缩,它的体积将趋于多少升?设此时的氮分子是一个挨着一个紧密排列的,试计算氮分子的直径。此时由分子间引力所产生的内压强约为多大?已知对于氮气,范德瓦耳斯方程中的常数a=1.390atm﹒l2mol-2,b=0.039131mol-1。解:在标准状态西224l的氮气是10mol的气体,所以不断压缩气体时,则其体积将趋于10b,即0.39131,分子直径为:)(1014.32383cmNbdO内压强P内=8.90703913.039.122Vaatm注:一摩尔实际气体当不断压缩时(即压强趋于无限大)时,气体分子不可能一个挨一个的紧密排列,因而气体体积不能趋于分子本身所有体积之和而只能趋于b。第三章气体分子热运动速率和能量的统计分布律3-1设有一群粒子按速率分布如下:粒子数Ni24682速率Vi(m/s)1.002.003.004.005.00试求(1)平均速率V;(2)方均根速率2V(3)最可几速率Vp解:(1)平均速率:18.3286420...

1、当您付费下载文档后,您只拥有了使用权限,并不意味着购买了版权,文档只能用于自身使用,不得用于其他商业用途(如 [转卖]进行直接盈利或[编辑后售卖]进行间接盈利)。
2、本站所有内容均由合作方或网友上传,本站不对文档的完整性、权威性及其观点立场正确性做任何保证或承诺!文档内容仅供研究参考,付费前请自行鉴别。
3、如文档内容存在违规,或者侵犯商业秘密、侵犯著作权等,请点击“违规举报”。

碎片内容

热学课后习题答案

确认删除?
VIP
微信客服
  • 扫码咨询
会员Q群
  • 会员专属群点击这里加入QQ群
客服邮箱
回到顶部