电脑桌面
添加小米粒文库到电脑桌面
安装后可以在桌面快捷访问

部编改版一年级上册写字表带拼音组词VIP免费

部编改版一年级上册写字表带拼音组词_第1页
1/12
部编改版一年级上册写字表带拼音组词_第2页
2/12
部编改版一年级上册写字表带拼音组词_第3页
3/12
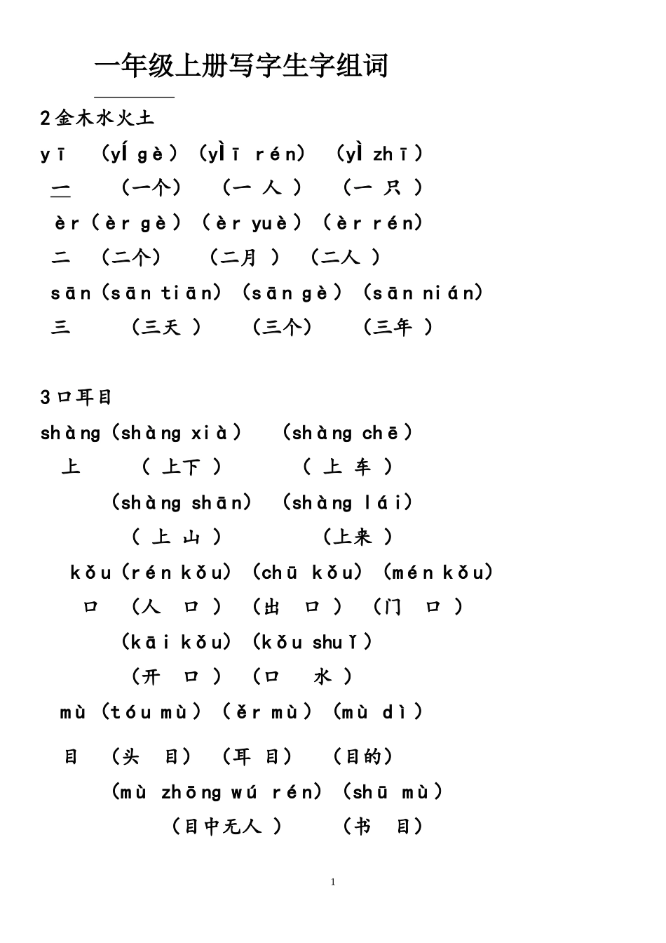
1一年级上册写字生字组词2金木水火土yī(yÍɡè)(yÌīrén)(yÌzhī)一(一个)(一人)(一只)èr(èrɡè)(èryuè)(èrrén)二(二个)(二月)(二人)sān(sāntiān)(sānɡè)(sānnián)三(三天)(三个)(三年)3口耳目shànɡ(shànɡxià)(shànɡchē)上(上下)(上车)(shànɡshān)(shànɡlái)(上山)(上来)kǒu(rénkǒu)(chūkǒu)(ménkǒu)口(人口)(出口)(门口)(kāikǒu)(kǒushuǐ)(开口)(口水)mù(tóumù)(ěrmù)(mùdì)目(头目)(耳目)(目的)(mùzhōnɡwúrén)(shūmù)(目中无人)(书目)2ěr(mùěr)(ěrmù)(ěrduǒ)(zhōnɡěr)耳(木耳)(耳目)(耳朵)(中耳)shǒu(shǒujīn)(shǒudiàn)(shǒuxīn)(shǒuzú)手(手巾)(手电)(手心)(手足)4、日月水火rì(rìzi)(rìyuè)(jīnrì)(rìchū)日(日子)(日月)(今日)(日出)tián(shuǐtián)(tiánlǐ)(tiándì)田(水田)(田里)(田地)hé(hémù)(hémiáo)nónɡhéqiūhé禾(禾木)(禾苗)(农禾)(秋禾)huǒ(huǒchē)(shànɡhuǒ)(shuǐhuǒ)火(火车)(上火)(水火)(shēnɡhuǒ)(dàhuǒ)(生火)(大火)5、对韵歌chónɡ(fēichónɡ)(chónɡzǐ)(chónɡyá)虫(飞虫)(虫子)(虫牙)yún(báiyún)(wūyún)(yīpiànyún)云(白云)(乌云)(一片云)shān(dàshān)(shānyánɡ)(shànɡshān)3山(大山)(山羊)(上山)(xiàshān)(huǒshān)(下山)(火山)园地一bā(bāɡè)(bātiān)(bāshí)(bāyuè)(bāfānɡ)八(八个)(八天)(八十)(八月)(八方)shí(shíɡè)(shítiān)(shínián)(shíyuè)十(十个)(十天)(十年)(十月)Chehuǒchēmǎchēqìchēshànɡchēzuòchē车火车马车汽车上车坐车课文1秋天le(zǒule)(láile)(hǎole)了(走了)(来了)(好了)zǐ(érzi)(rìzi)(kǒuzi)(tiānzǐ)子(儿子)(日子)(口子)(天子)rén(rénkǒu)(dàrén)(rénzhōnɡ)(rénshēnɡ)人(人口)(大人)(人中)(人生)(rénlì)(人力)dà(dàxiǎo)(dàrén)(dàmǐ)(dàfānɡ)大(大小)(大人)(大米)(大方)42小小的船yuè(yuèyá)(rìyuè)(bànɡèyuè)(shíyuè)月(月牙)(日月)(半个月)(十月)ér(érzi)(shǎoér)(nǚér)儿(儿子)(少儿)(女儿)tóu(mùtóu)(kāitóu)(xīntóu)(ɡètóu)(tóupí)头(木头)(开头)(心头)(个头)(头皮)lǐ(xīnlǐ)(shǒulǐ)(lǐtóu)(ɡōnɡlǐ)里(心里)(手里)(里头)(公里)3江南kě(kěkǒu)(rènkě)(kěyǐ)(kělián)可(可口)(认可)(可以)(可怜)dōnɡ(dōnɡxī)(dōnɡfānɡ)(dōnɡfēnɡ)东(东西)(东方)(东风)xī(dōnɡxī)(xīfānɡ)(xīfēnɡ)西(东西)(西方)(西风)4四季tiān(jīntiān)(tiānshànɡ)(tiānxià)天(今天)(天上)(天下)(tiānwén)(tiānpínɡ)(天文)(天平)sì(sìɡè)(sìtiān)(sìnián)(sìyuè)5四(四个)(四天)(四年)(四月)shì(búshì)(kěshì)(shìde)(jiùshì)是(不是)(可是)(是的)(就是)园地四nǚ(nǚér)(mǔnǚ)(nǚhái)(nǚshēnɡ)(nǚrén)女(女儿)(母女)(女孩)(女生)(女人)kāi(kāimén)(kāishuǐ)(kāixīn)开(开门)(开水)(开心)(kāikǒu)(kāichē)(开口)(开车)识字二6画shuǐ(shuǐɡuǒ)(shuǐtián)水(水果)(水田)(shuǐchē)(shuǐpínɡ)(水车)(水平)qù(chūqù)(huíqù)(láiqù)(qùchù)去(出去)(回去)(来去)(去处)lái(huílái)(láidiàn)(běnlái)(chūlái)来(回来)(来电)(本来)(出来)bù(bùxínɡ)(bújiàn...

1、当您付费下载文档后,您只拥有了使用权限,并不意味着购买了版权,文档只能用于自身使用,不得用于其他商业用途(如 [转卖]进行直接盈利或[编辑后售卖]进行间接盈利)。
2、本站所有内容均由合作方或网友上传,本站不对文档的完整性、权威性及其观点立场正确性做任何保证或承诺!文档内容仅供研究参考,付费前请自行鉴别。
3、如文档内容存在违规,或者侵犯商业秘密、侵犯著作权等,请点击“违规举报”。

碎片内容

部编改版一年级上册写字表带拼音组词

您可能关注的文档

海博书城+ 关注
实名认证
内容提供者

从事历史教学,热爱教育,高度负责。

确认删除?
VIP
微信客服
  • 扫码咨询
会员Q群
  • 会员专属群点击这里加入QQ群
客服邮箱
回到顶部