电脑桌面
添加小米粒文库到电脑桌面
安装后可以在桌面快捷访问

计量经济学书后答案VIP免费

计量经济学书后答案_第1页
1/19
计量经济学书后答案_第2页
2/19
计量经济学书后答案_第3页
3/19
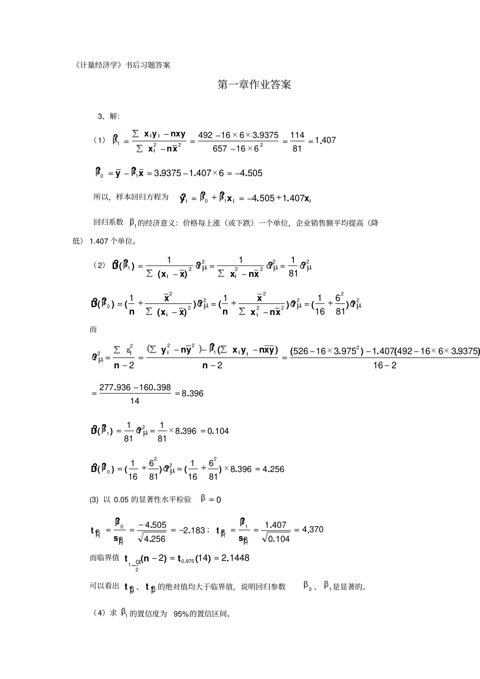
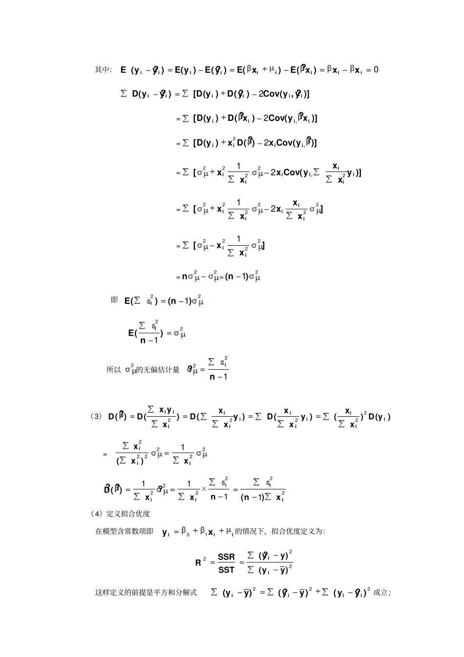
《计量经济学》书后习题答案第一章作业答案3、解:(1)407181114616657937536164922221..xnxyxnyx?iii5054640719375310...x?y?所以,样本回归方程为iiix..x??y?4071505410回归系数1的经济意义:价格每上涨(或下跌)一个单位,企业销售额平均提高(降低)1.407个单位。(2)222222181111??xnx?)xx()?(D?ii222222222081616111?)(?)xnxxn(?))xx(xn()?(D?ii而21693753616492407197531652622212222).(.).(n)yxnyx(?ynyn?iiii396814398160936277...1040396881181121..?)?(D?256439688161618161612220..)(?)()?(D?(3)以0.05的显著性水平检验0183225645054000...s?t??;370410404071111...s?t??而临界值14482142975021.)(t)n(t.可以看出0?t、1?t的绝对值均大于临界值,说明回归参数0、1是显著的。(4)求1的置信度为95%的置信区间。69104071104014482407121211.....)?(D?)n(t?即(0.716,2.098)(5)求拟合优度2R5770936277398160221222...yny)yxnyx(?)yy()yy?(SSTSSRRiiiii拟合优度57.7%不高,说明价格只能解释企业销售额总变差的58%左右,还有42%左右得不到说明。这一事实表明,只用价格一个因素不能充分解释企业销售额的变差,还需考虑别的有关因素,建立多元回归模型。矚慫润厲钐瘗睞枥庑赖。(6)回归直线未解释销售变差部分538117398160936277...SSRSSTSSE(7)当价格7fx时,预测该企业的销售额344574071505410...x??y?ff4、解:(1)22)xx()yy)(xx(xyxiiiiii→222xnxyxnyxxyxiiiiii→2222iiiiiiiiixyxnxyxyxxnxyx→022iiixyxyxx→02)xyyxx(xiii所以当0x或者2iiixyxxy时,22)xx()yy)(xx(xyxiiiiii成立。(2)求2的无偏估计量即用样本方差估计总体方差。与总体方差22)(E)(Dii相对应的样本方差为fi2;无偏性22)?(E要求22)f(Ei因为)]y?y(E)y?y(D[)y?y(E)(E)(Eiiiiiiii2222其中:0iiiiiiiiixx)x?(E)x(E)y?(E)y(E)y?y(E)]y?,y(Cov)y?(D)y(D[)y?y(Diiiiii2=)]x?y(Cov)x?(D)y(D[i,iii2=)]?y(Covx)?(Dx)y(D[,iiii22=)]yxxy(Covxxx[iii,iiii2222221=]xxxxx[iiiii22222221=]xx[ii22221=22n=21)n(即221)n()(Ei221)n(Ei所以2的无偏估计量122n?i(3))y(D)xx()yxx(D)yxx(D)xyx(D)?(Diiiiiiiiiiii22222=2222221iiix)x(x2222221111iiiiix)n(nx?x)?(D?(4)定义拟合优度在模型含常数项即iiixy10的情况下,拟合优度定义为:222)yy()yy?(SSTSSRRii这样定义的前提是平方和分解式222)y?y()yy?()yy(iiii成立;但这一等式成立的前提是0i和0iix同时成立(见书第32页第8行);而0i和0iix是用最小二乘法推导0和1的估计量时得到的两个方程(见书第18页的前两行)。聞創沟燴鐺險爱氇谴净。但在模型不含常数项即iiixy的情况下,用最小二乘法推导的估计量时只得到一个方程即0iix(见书第18页的倒数第2行)。因此,在此情况下222)y?y()yy?()yy(iiii不一定成立,原来拟合优度的定义也就不适用了。残骛楼諍锩瀨濟溆塹籟。而在iiixy的情况下,222)y?y(y?yiiii成立。证明:iiiiiiiiiiy?)y?y()y?y(y?)y?y?y(y2222其中0iiiiiiix?x?y?)y?y(所以222)y?y(y?yiiii因此,在iiixy的情况下,拟合优度可以定义为222iiyy?R5、解:(1)临界值10982172975021.)(t)n(t.而0?t=3.1、1?t=18.7,两者均大于临界值,说明0、1显著地异于零。(2)000??s?t,则83941315000..t?s??111??s?t,则0430718810111...t?s??0、1的置信度为95%的置信区间分别为:20910158394109821520210...s)n(t??即).,.(209257914;091081004301098281021211.....s)n(t??即).,.(90107190。6、解:iix..y?74314842100边际劳动生产率为14.743,即工作人数每增加一个单位(千人),该工业部门年产量平均增加14.743个单位(万吨)。酽锕极額閉镇桧猪訣锥。7、解:(1)1?=1.0598说明有价证券收益率每提高一个单位,相应地IBM股票的收益率则平均提高1.0598个单位。彈贸摄尔霁毙攬砖卤庑。0?=0.7264说明有价证券收益率为0时,IBM股票的收益率为0.7264。(2)2R=0.4710,拟合优度不高,说明有价证券收益率只能解释IBM股票收益率总变差的47.1%,还有52.9%得不到说明。这一事实表明,只用有价证券收益率一个因素不能充分解释IBM股票收益率的总变差,还需考虑别的有关因素,...

1、当您付费下载文档后,您只拥有了使用权限,并不意味着购买了版权,文档只能用于自身使用,不得用于其他商业用途(如 [转卖]进行直接盈利或[编辑后售卖]进行间接盈利)。
2、本站所有内容均由合作方或网友上传,本站不对文档的完整性、权威性及其观点立场正确性做任何保证或承诺!文档内容仅供研究参考,付费前请自行鉴别。
3、如文档内容存在违规,或者侵犯商业秘密、侵犯著作权等,请点击“违规举报”。

碎片内容

计量经济学书后答案

您可能关注的文档

确认删除?
VIP
微信客服
  • 扫码咨询
会员Q群
  • 会员专属群点击这里加入QQ群
客服邮箱
回到顶部