电脑桌面
添加小米粒文库到电脑桌面
安装后可以在桌面快捷访问

高考数学 三角函数与平面向量的交汇问题经典回顾课后练习一 理VIP免费

高考数学 三角函数与平面向量的交汇问题经典回顾课后练习一 理_第1页
1/3
高考数学 三角函数与平面向量的交汇问题经典回顾课后练习一 理_第2页
2/3
高考数学 三角函数与平面向量的交汇问题经典回顾课后练习一 理_第3页
3/3
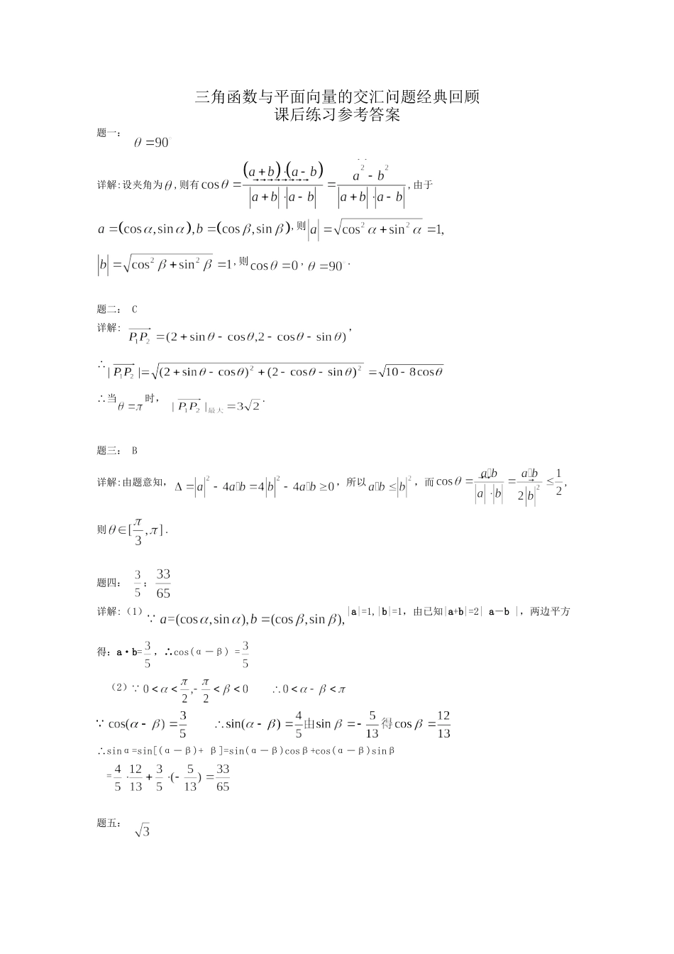
三角函数与平面向量的交汇问题经典回顾课后练习(一)题一:已知向量,且≠,那么与的夹角的大小是.题二:设时,已知:两个向量,,则向量的长度的最大值是()(A)(B)(C)(D)题三:已知,且关于的方程有实根,则与的夹角的取值范围是()A.[0,]B.C.D.题四:已知向量a=(cosα,sinα),b=(cosβ,sinβ),|a+b|=2|a-b|.(1)求cos(α-β)的值;(2)若0<α<,-<β<0且sinβ=,求sinα的值.题五:已知ΔABC的角A、B、C所对的边分别是a、b、c,设向量,,.(1)若//,求证:ΔABC为等腰三角形;(2)若⊥,边长c=2,角C=,求ΔABC的面积.题六:在△ABC中,角A、B、C的对边分别为a、b、c,若→·→=→·→=k(k∈R).(Ⅰ)判断△ABC的形状;(Ⅱ)若c=,求k的值.[ZXXK]三角函数与平面向量的交汇问题经典回顾课后练习参考答案题一:详解:设夹角为,则有,由于,则,则,.题二:C详解:,∴∴当时,.题三:B详解:由题意知,,所以,而,则.题四:;详解:(1)|a|=1,|b|=1,由已知|a+b|=2|a-b|,两边平方得:a·b=,∴cos(α-β)=(2)∴sinα=sin[(α-β)+β]=sin(α-β)cosβ+cos(α-β)sinβ=题五:详解:(1)即,其中R是三角形ABC外接圆半径,为等腰三角形(2)由题意可知由余弦定理可知,题六:△ABC为等腰三角形;k=1.详解:又→·→=→·→,∴bccosA=cacosB,∴由正弦定理,得sinBcosA=sinAcosB,即sinAcosB-sinBcosA=0,∴sin(A-B)=0[来源:]∵-π<A-B<π,∴A-B=0,即A=B,∴△ABC为等腰三角形.(Ⅱ)由(Ⅰ)知,∴→·→=bccosA=bc·=,∵c=,∴k=1.

1、当您付费下载文档后,您只拥有了使用权限,并不意味着购买了版权,文档只能用于自身使用,不得用于其他商业用途(如 [转卖]进行直接盈利或[编辑后售卖]进行间接盈利)。
2、本站所有内容均由合作方或网友上传,本站不对文档的完整性、权威性及其观点立场正确性做任何保证或承诺!文档内容仅供研究参考,付费前请自行鉴别。
3、如文档内容存在违规,或者侵犯商业秘密、侵犯著作权等,请点击“违规举报”。

碎片内容

高考数学 三角函数与平面向量的交汇问题经典回顾课后练习一 理

您可能关注的文档

文章天下+ 关注
实名认证
内容提供者

各种文档应有尽有

确认删除?
VIP
微信客服
  • 扫码咨询
会员Q群
  • 会员专属群点击这里加入QQ群
客服邮箱
回到顶部