电脑桌面
添加小米粒文库到电脑桌面
安装后可以在桌面快捷访问

专题---圆锥曲线中的最值与范围问题VIP免费

专题---圆锥曲线中的最值与范围问题_第1页
1/13
专题---圆锥曲线中的最值与范围问题_第2页
2/13
专题---圆锥曲线中的最值与范围问题_第3页
3/13
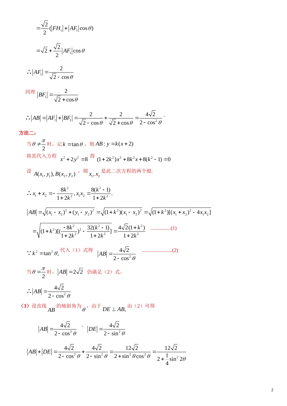
高三数学专题复习圆锥曲线中的最值问题和范围的求解策略最值问题是圆锥曲线中的典型问题,它是教学的重点也是历年高考的热点。解决这类问题不仅要紧紧把握圆锥曲线的定义,而且要善于综合应用代数、平几、三角等相关知识。以下从五个方面予以阐述。一.求距离的最值或范围:例1.设AB为抛物线y=x2的一条弦,若AB=4,则AB的中点M到直线y+1=0的最短距离为,解析:抛物线y=x2的焦点为F(0,41),准线为y=41,过A、B、M准线y=41的垂线,垂足分别是A1、B1、M1,则所求的距离d=MM1+43=21(AA1+BB1)+43=21(AF+BF)+43≥21AB+43=21×4+43=411,当且仅当弦AB过焦点F时,d取最小值411,评注:灵活运用抛物线的定义和性质,结合平面几何的相关知识,使解题简洁明快,得心应手。练习:1、(2008海南、宁夏理)已知点P在抛物线y2=4x上,那么点P到点Q(2,-1)的距离与点P到抛物线焦点距离之和取得最小值时,点P的坐标为(A)A.(41,-1)B.(41,1)C.(1,2)D.(1,-2)2、(2008安徽文)设椭圆2222:1(0)xyCabab其相应于焦点(2,0)F的准线方程为4x.(Ⅰ)求椭圆C的方程;(Ⅱ)已知过点1(2,0)F倾斜角为的直线交椭圆C于,AB两点,求证:2422ABCOS;(Ⅲ)过点1(2,0)F作两条互相垂直的直线分别交椭圆C于,AB和,DE,求ABDE的最小值解:(1)由题意得:2222222844caacbabc∴∴椭圆C的方程为22184xy(2)方法一:由(1)知1(2,0)F是椭圆C的左焦点,离心率22e设l为椭圆的左准线。则:4lx作1111,AAlABBlB于于,l与x轴交于点H(如图) 点A在椭圆上1122AFAA∴1112(cos)2FHAF122cos2AF122cosAF∴同理122cosBF11222422cos2cos2cosABAFBF∴。方法二:当2时,记tank,则:(2)ABykx将其代入方程2228xy得2222(12)88(1)0kxkxk设1122(,),(,)AxyBxy,则12,xx是此二次方程的两个根.2212122288(1),.1212kkxxxxkk∴2222221212121212()()(1)()(1)[()4]ABxxyykxxkxxxx22222222832(1)42(1)(1)[()]121212kkkkkkk................(1)22tan,k 代入(1)式得2422cosAB........................(2)当2时,22AB仍满足(2)式。2422cosAB∴(3)设直线AB的倾斜角为,由于,DEAB由(2)可得2422cosAB,2422sinDE22222424212212212cos2sin2sincos2sin24ABDE2yO1A2B2A...M0F2Fx.当344或时,ABDE取得最小值16233、我们把由半椭圆12222byax(0)x≥与半椭圆12222cxby(0)x≤合成的曲线称作“果圆”,其中222cba,0a,0cb.如图,设点0F,1F,2F是相应椭圆的焦点,1A,2A和1B,2B是“果圆”与x,y轴的交点,M是线段21AA的中点.(1)若012FFF△是边长为1的等边三角形,求该“果圆”的方程;(2)设P是“果圆”的半椭圆12222cxby(0)x≤上任意一点.求证:当PM取得最小值时,P在点12BB,或1A处;(3)若P是“果圆”上任意一点,求PM取得最小值时点P的横坐标.解:(1)2222012(0)00FcFbcFbc,,,,,,222220212121FFbccbFFbc,,于是22223744cabc,,所求“果圆”方程为2241(0)7xyx≥,2241(0)3yxx≤.(2)设()Pxy,,则2222||ycaxPM22222()1()04bacxacxbcxc,≤≤,0122cb,2||PM的最小值只能在0x或cx处取到.即当PM取得最小值时,P在点12BB,或1A处.(3)||||21MAMA,且1B和2B同时位于“果圆”的半椭圆22221(0)xyxab≥和半椭圆22221(0)yxxbc≤上,所以,由(2)知,只需研究P位于“果圆”的半椭圆22221(0)xyxab≥上的情形即可.2222||ycaxPM22222222224)(4)(2)(ccaacabccaaxac.当22()2aacxac≤,即2ac≤时,2||PM的最小值在222)(ccaax时取到,此时P的横坐标是222)(ccaa.3当accaax222)(,即ca2...

1、当您付费下载文档后,您只拥有了使用权限,并不意味着购买了版权,文档只能用于自身使用,不得用于其他商业用途(如 [转卖]进行直接盈利或[编辑后售卖]进行间接盈利)。
2、本站所有内容均由合作方或网友上传,本站不对文档的完整性、权威性及其观点立场正确性做任何保证或承诺!文档内容仅供研究参考,付费前请自行鉴别。
3、如文档内容存在违规,或者侵犯商业秘密、侵犯著作权等,请点击“违规举报”。

碎片内容

专题---圆锥曲线中的最值与范围问题

确认删除?
VIP
微信客服
  • 扫码咨询
会员Q群
  • 会员专属群点击这里加入QQ群
客服邮箱
回到顶部