电脑桌面
添加小米粒文库到电脑桌面
安装后可以在桌面快捷访问

高中化学 专题2 有机物的结构与分类 2.1.2 同分异构体课堂反馈 苏教版选修5-苏教版高二选修5化学试题VIP免费

高中化学 专题2 有机物的结构与分类 2.1.2 同分异构体课堂反馈 苏教版选修5-苏教版高二选修5化学试题_第1页
1/3
高中化学 专题2 有机物的结构与分类 2.1.2 同分异构体课堂反馈 苏教版选修5-苏教版高二选修5化学试题_第2页
2/3
高中化学 专题2 有机物的结构与分类 2.1.2 同分异构体课堂反馈 苏教版选修5-苏教版高二选修5化学试题_第3页
3/3
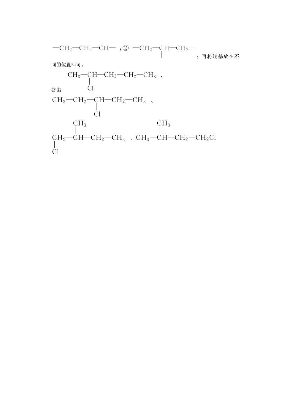
第2课时同分异构体1.下列各对物质中属于同分异构体的是()A.H和HB.O2和O3解析A项中两种微粒互为同位素:B项中为同素异形体;C项中为同一物质;D项中两物质分子式都是C5H12,但结构不同,互为同分异构体。答案D2.已知下列有机物:①②③CH3—CH2—OH和CH3—O—CH3④和⑤⑥CH3—CH2—CH===CH—CH3和(环戊烷)⑦CH2===CH—CH===CH2和CH3—CH2—C≡CH(1)其中属于同分异构体的是______________________(填序号,下同)。(2)其中属于碳链异构的是___________________________。(3)其中属于位置异构的是__________________________________。(4)其中属于官能团异构的是_____________________。(5)其中属于同一种物质的是________________________。解析解答此题的方法是先写出组内物质的分子式,若分子式相同,再判断分子中含有的官能团是否相同,进一步再确定官能团的位置,最终对组内2种物质的关系作出判断。答案(1)①②③④⑥⑦(2)①(3)②(4)③④⑥⑦(5)⑤3.有机化学中有多种同分异构现象,其中有顺反异构,例如2丁烯有两种顺反异构体:A中两个—CH3在双键同侧,称为顺式,B中两个—CH3在双键两侧,称为反式,如下所示:根据此原理,苯丙烯的同分异构体中除有3种位置异构外还有一对顺反异构,写出其结构简式:(1)3种位置异构:___________________________,________________________________,________________________;(2)2种顺反异构:_____________,___________________________。解析顺式结构是2个相对分子质量较大的原子或原子团在双键的同侧,而反式在双键的异侧。答案(1)(2)顺式反式4.某化合物的分子式为C5H11Cl,分析数据表明:分子中含有2个—CH3、2个—CH2—和1个,写出它可能的结构简式:_________。解析先写出除端基外的结构,有2种:①;再将端基放在不同的位置即可。答案

1、当您付费下载文档后,您只拥有了使用权限,并不意味着购买了版权,文档只能用于自身使用,不得用于其他商业用途(如 [转卖]进行直接盈利或[编辑后售卖]进行间接盈利)。
2、本站所有内容均由合作方或网友上传,本站不对文档的完整性、权威性及其观点立场正确性做任何保证或承诺!文档内容仅供研究参考,付费前请自行鉴别。
3、如文档内容存在违规,或者侵犯商业秘密、侵犯著作权等,请点击“违规举报”。

碎片内容

高中化学 专题2 有机物的结构与分类 2.1.2 同分异构体课堂反馈 苏教版选修5-苏教版高二选修5化学试题

雨丝书吧+ 关注
实名认证
内容提供者

乐于和他人分享知识,从事历史教学,热爱教育,高度负责。

确认删除?
VIP
微信客服
  • 扫码咨询
会员Q群
  • 会员专属群点击这里加入QQ群
客服邮箱
回到顶部