电脑桌面
添加小米粒文库到电脑桌面
安装后可以在桌面快捷访问

高二数学单元测试 圆的方程VIP免费

高二数学单元测试 圆的方程_第1页
1/3
高二数学单元测试 圆的方程_第2页
2/3
高二数学单元测试 圆的方程_第3页
3/3
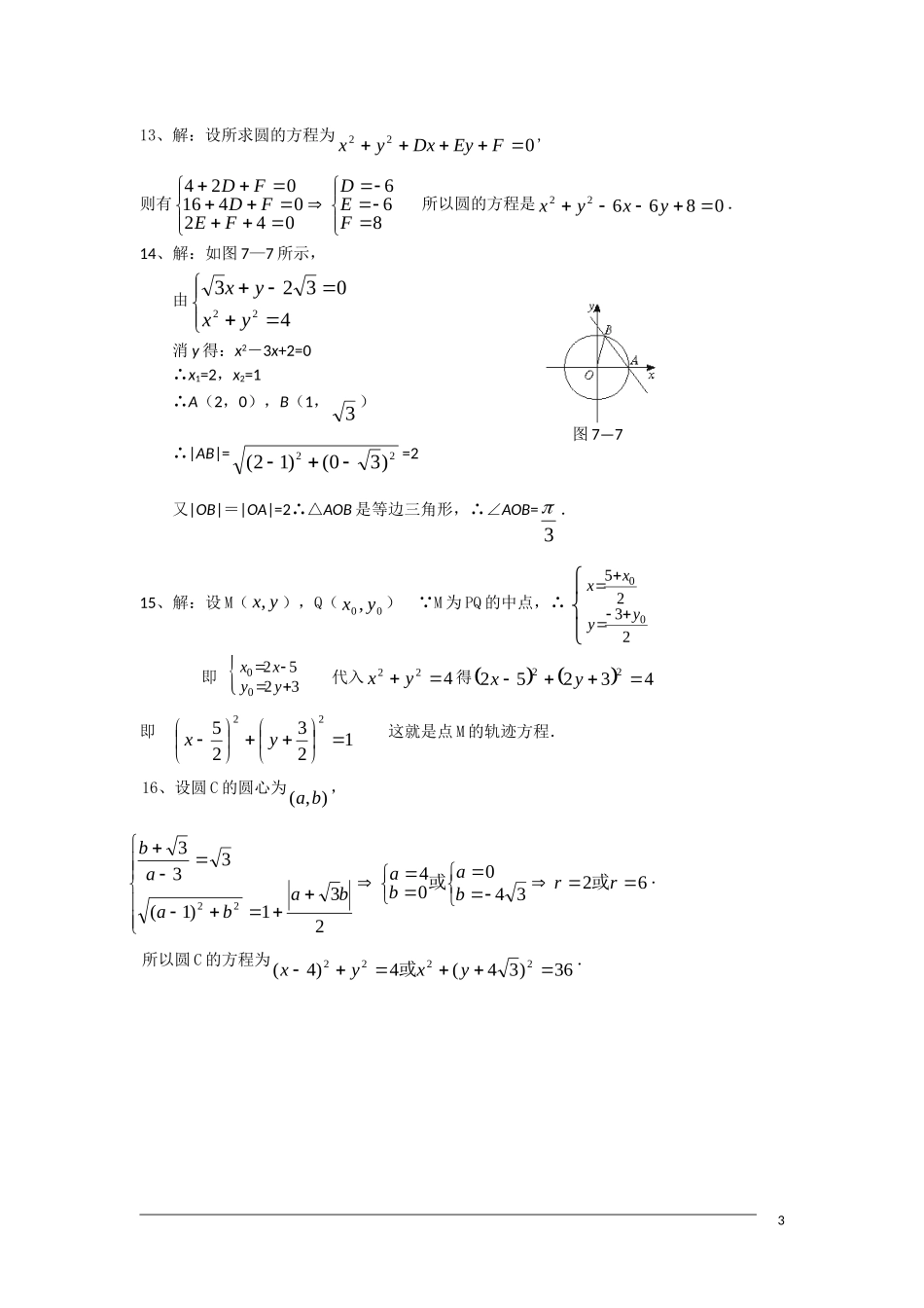
圆的方程班级姓名学号成绩一、选择题:1.圆222430xyxy的圆心到直线1xy的距离为A.2B.22C.1D.22.若圆C与圆1)1()2(22yx关于原点对称,则圆C的方程是A.1)1()2(22yxB.1)1()2(22yxC.1)2()1(22yxD.1)2()1(22yx3.若直线0ayx与圆ayx22相切,则a为A.0或2B.2C.2D.无解4.两圆094622yxyx和01912622yxyx的位置关系是A.外切B.内切C.相交D.外离5.以点(-3,4)为圆心,且与x轴相切的圆的方程是A.16)4()3(22yxB.16)4()3(22yxC.9)4()3(22yxD.9)4()3(22yx6.由点)3,1(P引圆922yx的切线的长是A.2B.19C.1D.47.圆0422xyx在点)3,1(P处的切线方程为A、023yxB、043yxC、043yxD、023yx8.从原点向圆0271222yyx作两条切线,则这两条切线的夹角的大小为A.6B.3C.2D.32二、填空题:9.设直线l过点)0,2(,且与圆122yx相切,则l的斜率是10.若方程014222ayxyx表示的曲线是一个圆,则a的取值范围是111.若经过点P(-1,0)的直线与圆032422yxyx相切,则此直线在y轴上的截距是.12.设直线0132yx和圆03222xyx相交于点A、B,则弦AB的垂直平分线方程是.三、解答题:13.若圆经过点)2,0(),0,4(),0,2(CBA,求这个圆的方程14.求直线3x+y-23=0截圆x2+y2=4得的劣弧所对的圆心角的度数15.已知点P(5,-3),点Q在圆422yx上运动,线段PQ的中点为M,求点M的轨迹方程16.已知圆C与圆0222xyx相外切,并且与直线03yx相切于点)3,3(Q,求圆C的方程圆的方程参考答案一、选择题12345678DACABCDB二、填空题9、3310、4a11、112、0323yx三、解答题213、解:设所求圆的方程为022FEyDxyx,则有8660420416024FEDFEFDFD所以圆的方程是086622yxyx.14、解:如图7—7所示,由4032322yxyx消y得:x2-3x+2=0∴x1=2,x2=1∴A(2,0),B(1,3)∴|AB|=22)30()12(=2又|OB|=|OA|=2∴△AOB是等边三角形,∴∠AOB=3.15、解:设M(yx,),Q(00,yx)∵M为PQ的中点,∴252300xxyy即523200xxyy代入422yx得4325222yx即1232522yx这就是点M的轨迹方程.16、设圆C的圆心为),(ba,6234004231)1(33322rrbabababaab或或.所以圆C的方程为36)34(4)4(2222yxyx或.3图7—7

1、当您付费下载文档后,您只拥有了使用权限,并不意味着购买了版权,文档只能用于自身使用,不得用于其他商业用途(如 [转卖]进行直接盈利或[编辑后售卖]进行间接盈利)。
2、本站所有内容均由合作方或网友上传,本站不对文档的完整性、权威性及其观点立场正确性做任何保证或承诺!文档内容仅供研究参考,付费前请自行鉴别。
3、如文档内容存在违规,或者侵犯商业秘密、侵犯著作权等,请点击“违规举报”。

碎片内容

高二数学单元测试 圆的方程

确认删除?
VIP
微信客服
  • 扫码咨询
会员Q群
  • 会员专属群点击这里加入QQ群
客服邮箱
回到顶部