电脑桌面
添加小米粒文库到电脑桌面
安装后可以在桌面快捷访问

辽宁省大连市真金教育信息咨询有限公司高三数学 第05章 数列B精炼试题 新人教A版 VIP免费

辽宁省大连市真金教育信息咨询有限公司高三数学 第05章 数列B精炼试题 新人教A版 _第1页
1/8
辽宁省大连市真金教育信息咨询有限公司高三数学 第05章 数列B精炼试题 新人教A版 _第2页
2/8
辽宁省大连市真金教育信息咨询有限公司高三数学 第05章 数列B精炼试题 新人教A版 _第3页
3/8
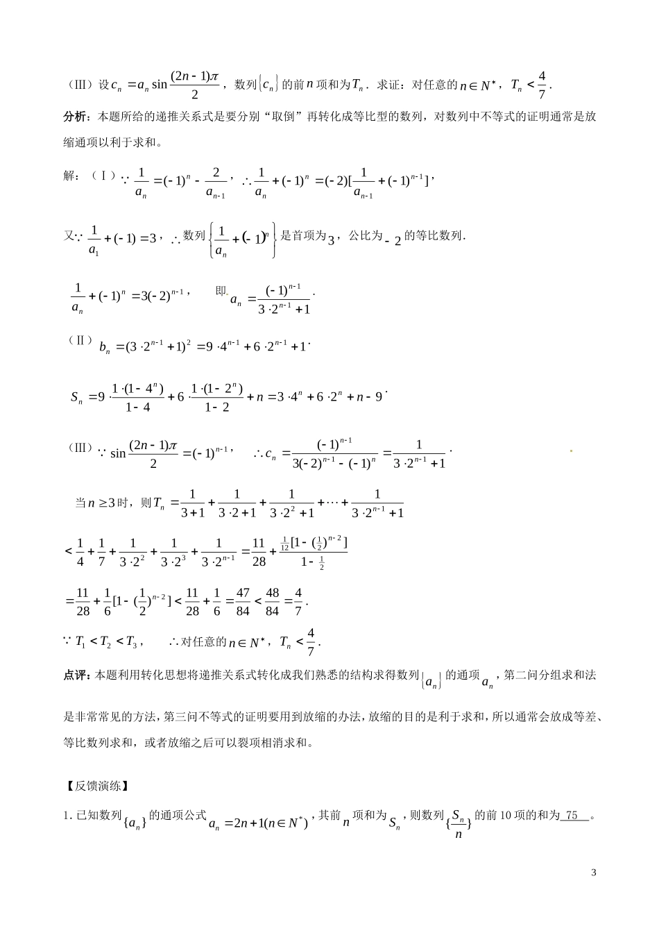
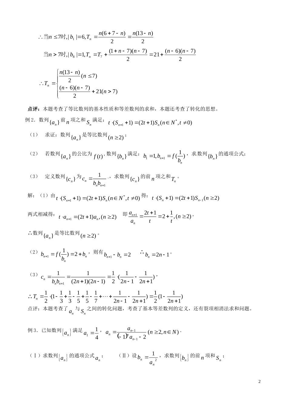
"辽宁省大连市真金教育信息咨询有限公司高三数学第05章数列B精炼试题新人教A版"第3课数列的求和【考点导读】对于一般数列求和是很困难的,在推导等差、等比数列的和时出现了一些方法可以迁移到一般数列的求和上,掌握数列求和的常见方法有:(1)公式法:⑴等差数列的求和公式,⑵等比数列的求和公式(2)分组求和法:在直接运用公式求和有困难时常,将“和式”中的“同类项”先合并在一起,再运用公式法求和(如:通项中含n(-1)因式,周期数列等等)(3)倒序相加法:如果一个数列{an},与首末两项等距的两项之和等于首末两项之和,则可用把正着写和与倒着写和的两个和式相加,就得到了一个常数列的和,这一求和方法称为倒序相加法。特征:an+a1=an-1+a2(4)错项相减法:如果一个数列的各项是由一个等差数列与一个等比数列的对应项相乘所组成,此时求和可采用错位相减法。(5)裂项相消法:把一个数列的各项拆成两项之差,在求和时一些正负项相互抵消,于是前n项之和变成首尾若干少数项之和。【基础练习】1.已知公差不为0的正项等差数列{an}中,Sn为前n项之和,lga1、lga2、lga4成等差数列,若a5=10,则S5=30。2.已知数列{an}是等差数列,且a2=8,a8=26,从{an}中依次取出第3项,第9项,第27项…,第3n项,按原来的顺序构成一个新的数列{bn},则bn=__3n+1+2___3.若数列na满足:1,2,111naaann,2,3….则naaa2121n.【范例导析】例1.已知等比数列432,,,}{aaaan中分别是某等差数列的第5项、第3项、第2项,且1,641qa公比(Ⅰ)求na;(Ⅱ)设nnab2log,求数列.|}{|nnTnb项和的前解:(I)依题意032),(32244342aaaaaaa即03213131qaqaqa21101322qqqq或211qq1)21(64nna故(II)nbnnn72log])21(64[log72127777||nnnnbn12)13(2)76(,6||,71nnnnTbnn时当2)7)(6(212)7)(71(,1||,778nnnnTTbnn时当)7(212)7)(6()7(2)13(nnnnnnTn点评:本题考查了等比数列的基本性质和等差数列的求和,本题还考查了转化的思想。例2.数列}{na前n项之和nS满足:*1(1)(21)(,0)nntStSnNt(1)求证:数列}{na是等比数列(2)n;(2)若数列}{na的公比为()ft,数列}{nb满足:1111,()nnbbfb,求数列}{nb的通项公式;(3)定义数列}{nc为11nnncbb,,求数列}{nc的前n项之和nT。解:(1)由*1(1)(21)(,0)nntStSnNt得:1(1)(21)(2)nntStSn两式相减得:1(21),(2)nntatan即12112,(2)nnatnatt,∴数列}{na是等比数列(2)n。(2)11()2nnnbfbb,则有12nnbb∴21nbn。(3)111111()(21)(21)22121nnncbbnnnn,∴1111111111(1)(1)2335572121221nTnnn点评:本题考查了na与nS之间的转化问题,考查了基本等差数列的定义,还有裂项相消法求和问题。例3.已知数列na满足411a,),2(2111Nnnaaannnn.(Ⅰ)求数列na的通项公式na;(Ⅱ)设21nnab,求数列nb的前n项和nS;2(Ⅲ)设2)12(sinnacnn,数列nc的前n项和为nT.求证:对任意的Nn,74nT.分析:本题所给的递推关系式是要分别“取倒”再转化成等比型的数列,对数列中不等式的证明通常是放缩通项以利于求和。解:(Ⅰ)12)1(1nnnaa,])1(1)[2()1(111nnnnaa,又3)1(11a,数列nna11是首项为3,公比为2的等比数列.1)2(3)1(1nnna,即123)1(11nnna.(Ⅱ)12649)123(1121nnnnb.9264321)21(1641)41(19nnSnnnnn.(Ⅲ)1)1(2)12(sinnn,1231)1()2(3)1(111nnnnnc.当3n时,则12311231123113112nnT212211211321])(1[28112312312317141nn74844884...

1、当您付费下载文档后,您只拥有了使用权限,并不意味着购买了版权,文档只能用于自身使用,不得用于其他商业用途(如 [转卖]进行直接盈利或[编辑后售卖]进行间接盈利)。
2、本站所有内容均由合作方或网友上传,本站不对文档的完整性、权威性及其观点立场正确性做任何保证或承诺!文档内容仅供研究参考,付费前请自行鉴别。
3、如文档内容存在违规,或者侵犯商业秘密、侵犯著作权等,请点击“违规举报”。

碎片内容

辽宁省大连市真金教育信息咨询有限公司高三数学 第05章 数列B精炼试题 新人教A版

确认删除?
VIP
微信客服
  • 扫码咨询
会员Q群
  • 会员专属群点击这里加入QQ群
客服邮箱
回到顶部