电脑桌面
添加小米粒文库到电脑桌面
安装后可以在桌面快捷访问

高考数学二轮复习 中档大题满分练(二)三角函数与解三角形(B组)-人教版高三全册数学试题VIP免费

高考数学二轮复习 中档大题满分练(二)三角函数与解三角形(B组)-人教版高三全册数学试题_第1页
1/2
高考数学二轮复习 中档大题满分练(二)三角函数与解三角形(B组)-人教版高三全册数学试题_第2页
2/2
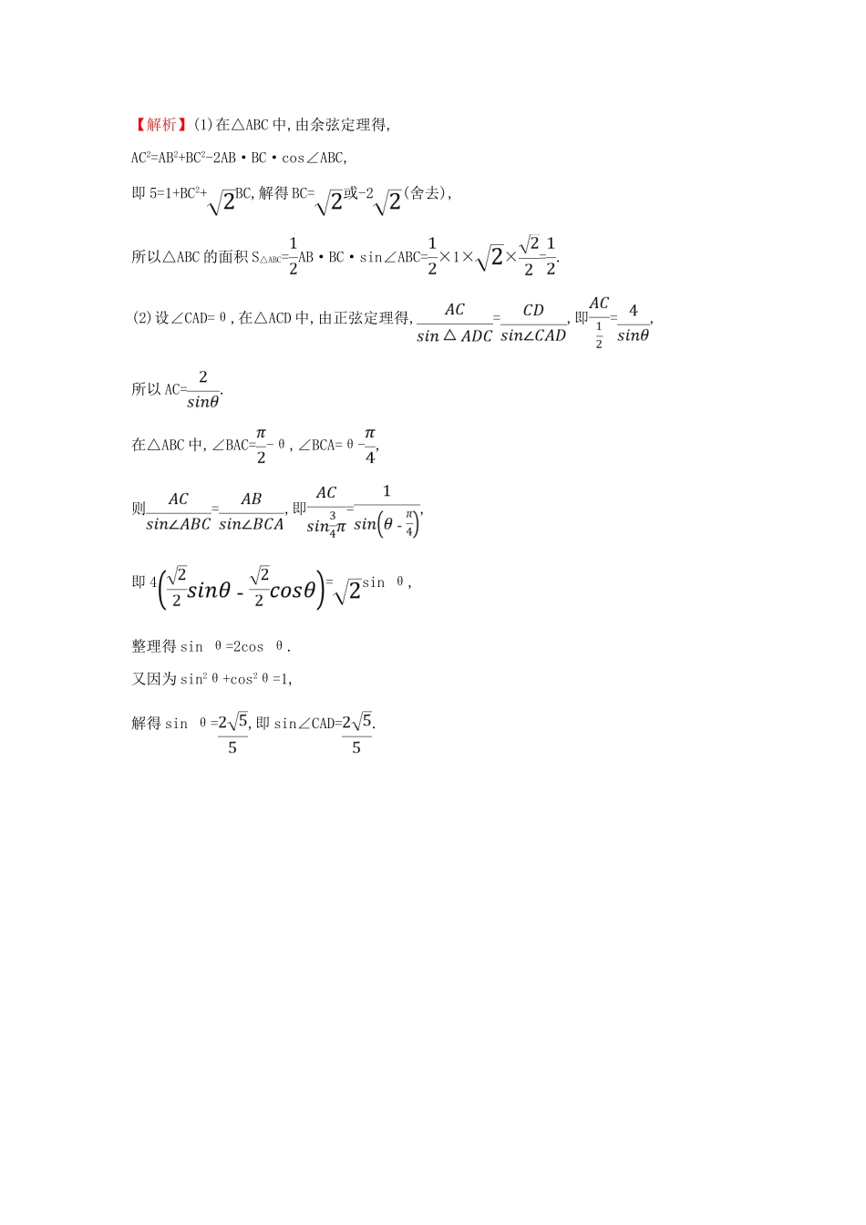
中档大题满分练2.三角函数与解三角形(B组)中档大题集训练,练就慧眼和规范,筑牢高考满分根基!1.已知△ABC中,角A,B,C所对的边分别是a,b,c,且asinA+csinC-bsinB=asinC.(1)求角B的大小.(2)设向量m=(cosA,cos2A),n=(12,-5),边长a=4,当m·n取最大值时,求b的长.【解析】(1)由题意,asinA+csinC-bsinB=asinC,所以a2+c2-b2=ac,所以cosB===,B∈(0,π),所以B=.(2)因为m·n=12cosA-5cos2A=-10+,所以当cosA=时,m·n取最大值,此时,sinA=.由正弦定理得,b=a·=.2.如图,在平面四边形ABCD中,∠ABC=π,AB⊥AD,AB=1.(1)若AC=,求△ABC的面积.(2)若∠ADC=,CD=4,求sin∠CAD.【解析】(1)在△ABC中,由余弦定理得,AC2=AB2+BC2-2AB·BC·cos∠ABC,即5=1+BC2+BC,解得BC=或-2(舍去),所以△ABC的面积S△ABC=AB·BC·sin∠ABC=×1××=.(2)设∠CAD=θ,在△ACD中,由正弦定理得,=,即=,所以AC=.在△ABC中,∠BAC=-θ,∠BCA=θ-,则=,即=,即4=sinθ,整理得sinθ=2cosθ.又因为sin2θ+cos2θ=1,解得sinθ=,即sin∠CAD=.

1、当您付费下载文档后,您只拥有了使用权限,并不意味着购买了版权,文档只能用于自身使用,不得用于其他商业用途(如 [转卖]进行直接盈利或[编辑后售卖]进行间接盈利)。
2、本站所有内容均由合作方或网友上传,本站不对文档的完整性、权威性及其观点立场正确性做任何保证或承诺!文档内容仅供研究参考,付费前请自行鉴别。
3、如文档内容存在违规,或者侵犯商业秘密、侵犯著作权等,请点击“违规举报”。

碎片内容

高考数学二轮复习 中档大题满分练(二)三角函数与解三角形(B组)-人教版高三全册数学试题

海博书城+ 关注
实名认证
内容提供者

从事历史教学,热爱教育,高度负责。

相关文档

确认删除?
VIP
微信客服
  • 扫码咨询
会员Q群
  • 会员专属群点击这里加入QQ群
客服邮箱
回到顶部