电脑桌面
添加小米粒文库到电脑桌面
安装后可以在桌面快捷访问

高考数学复习点拨 运用导数解决有关单调性问题VIP免费

高考数学复习点拨 运用导数解决有关单调性问题_第1页
1/3
高考数学复习点拨 运用导数解决有关单调性问题_第2页
2/3
高考数学复习点拨 运用导数解决有关单调性问题_第3页
3/3
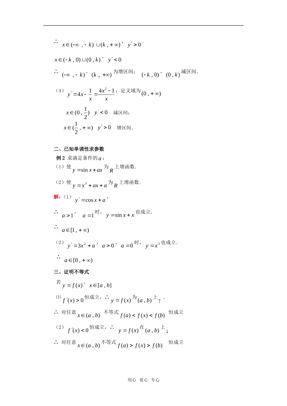
运用导数解决有关单调性问题一般地,设函数y=f(x)在某个区间内可导.如果f'(x)>0,则f(x)为增函数;如果f'(x)<0,则f(x)为减函数.单调性是导数应用的重点内容,主要有三类问题:①运用导数判断单调区间或证明单调性;②已知单调性求参数;③先证明其单调性,再运用单调性证明不等式等问题.下面举例说明.一、求单调区间或证明单调性单调区间的求解过程:已知)(xfy(1)分析)(xfy的定义域;(2)求导数)(xfy;(3)解不等式0)(xf,解集在定义域内的部分为增区间;(4)解不等式0)(xf,解集在定义域内的部分为减区间.例1求下列函数单调区间(1)5221)(23xxxxfy(2)xxy12(3)xxky2)0(k(4)ln22xy解:(1)232xxy)1)(23(xx,)32,(x),1(时0y)1,32(x0y∴)32,(,),1(为增区间,)1,32(为减区间.(2)221xxy,∴)0,(,),0(为增区间.(3)221xky,用心爱心专心∴),(kx),(k,0y.),0()0,(kkx,0y∴),(k,(,)k为增区间;)0,(k,),0(k减区间.(4)xxxxy14142,定义域为),0()21,0(x0y减区间;),21(x0y增区间.二、已知单调性求参数例2求满足条件的a:(1)使axxysin为R上增函数.(2)使aaxxy3为R上增函数.解:(1)axycos,∴1a,1a时,xxysin也成立.∴),1[a(2)axy23,0a,0a时,3xy也成立.∴),0[a三、证明不等式若)(xfy,],[bax⑴0)(xf恒成立,∴)(xfy为),(ba上.∴对任意),(bax不等式)()()(bfxfaf恒成立(2)0)(xf恒成立,∴)(xfy在),(ba上∴对任意),(bax不等式)()()(bfxfaf恒成立用心爱心专心例3求证下列不等式(1)xx2sin)2,0(x(2)xxxxtansin)2,0(x证:(1)原式2sinxx,令sin()xfxx.又)2,0(x,0cosx,0tanxx∴2)tan(cos)(xxxxxf,∴)2,0(x,0)(xf,)2,0(,2)2(f,∴xx2sin(2)令xxxxfsin2tan)(,0)0(f.xxxxxxxf222cos)sin)(coscos1(cos2sec)()2,0(x,0)(xf.∴)2,0(∴xxxxsintan.用心爱心专心

1、当您付费下载文档后,您只拥有了使用权限,并不意味着购买了版权,文档只能用于自身使用,不得用于其他商业用途(如 [转卖]进行直接盈利或[编辑后售卖]进行间接盈利)。
2、本站所有内容均由合作方或网友上传,本站不对文档的完整性、权威性及其观点立场正确性做任何保证或承诺!文档内容仅供研究参考,付费前请自行鉴别。
3、如文档内容存在违规,或者侵犯商业秘密、侵犯著作权等,请点击“违规举报”。

碎片内容

高考数学复习点拨 运用导数解决有关单调性问题

慧源书店+ 关注
实名认证
内容提供者

从事历史教学,热爱教育,高度负责。

确认删除?
VIP
微信客服
  • 扫码咨询
会员Q群
  • 会员专属群点击这里加入QQ群
客服邮箱
回到顶部