电脑桌面
添加小米粒文库到电脑桌面
安装后可以在桌面快捷访问

湖南省师范大学附属中学高一数学 等比数列综合练习VIP专享VIP免费

湖南省师范大学附属中学高一数学 等比数列综合练习_第1页
1/3
湖南省师范大学附属中学高一数学 等比数列综合练习_第2页
2/3
湖南省师范大学附属中学高一数学 等比数列综合练习_第3页
3/3
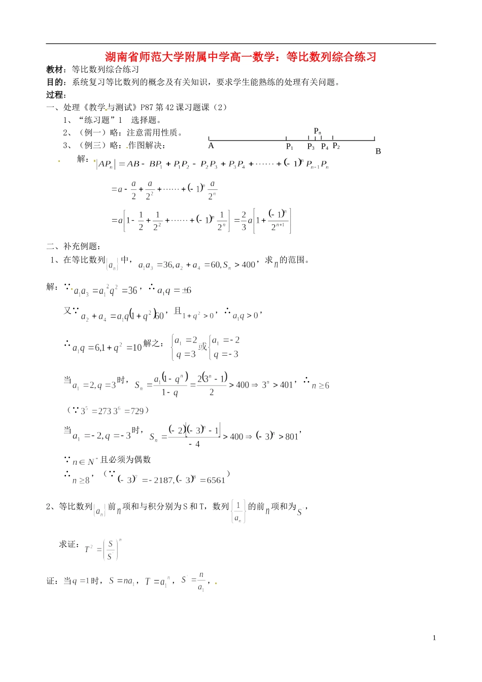
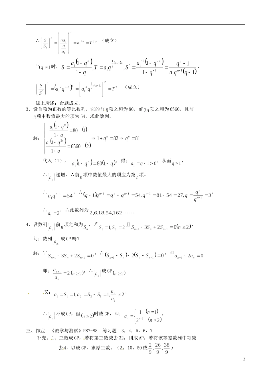
湖南省师范大学附属中学高一数学:等比数列综合练习教材:等比数列综合练习目的:系统复习等比数列的概念及有关知识,要求学生能熟练的处理有关问题。过程:一、处理《教学与测试》P87第42课习题课(2)1、“练习题”1选择题。2、(例一)略:注意需用性质。3、(例三)略:作图解决:解:二、补充例题:1、在等比数列中,,求的范围。解:∵,∴又∵,且,∴,∴解之:当时,,∴(∵)当时,,∵且必须为偶数∴,(∵)2、等比数列前项和与积分别为S和T,数列的前项和为,求证:证:当时,,,,1BAP2P1P3P4Pn∴,(成立)当时,,,(成立)综上所述:命题成立。3、设首项为正数的等比数列,它的前项之和为80,前项之和为6560,且前项中数值最大的项为54,求此数列。解:代入(1),,得:,从而,∴递增,∴前项中数值最大的项应为第项。∴,∴,∴,∴此数列为4、设数列前项之和为,若且,问:数列成GP吗?解:∵,∴,即即:,∴成GP又:,∴不成GP,但时成GP,即:。三、作业:《教学与测试》P87-88练习题3,4,5,6,7补充:1、三数成GP,若将第三数减去32,则成AP,若将该等差数列中项减去4,以成GP,求原三数。(2,10,50或)22、一个等比数列前项的和为前项之和,求。(63)3、在等比数列中,已知:,求。《精编》P176-177第2,4题。3

1、当您付费下载文档后,您只拥有了使用权限,并不意味着购买了版权,文档只能用于自身使用,不得用于其他商业用途(如 [转卖]进行直接盈利或[编辑后售卖]进行间接盈利)。
2、本站所有内容均由合作方或网友上传,本站不对文档的完整性、权威性及其观点立场正确性做任何保证或承诺!文档内容仅供研究参考,付费前请自行鉴别。
3、如文档内容存在违规,或者侵犯商业秘密、侵犯著作权等,请点击“违规举报”。

碎片内容

湖南省师范大学附属中学高一数学 等比数列综合练习

确认删除?
VIP
微信客服
  • 扫码咨询
会员Q群
  • 会员专属群点击这里加入QQ群
客服邮箱
回到顶部