电脑桌面
添加小米粒文库到电脑桌面
安装后可以在桌面快捷访问

高二数学椭圆的知识点与例的题目VIP免费

高二数学椭圆的知识点与例的题目_第1页
1/10
高二数学椭圆的知识点与例的题目_第2页
2/10
高二数学椭圆的知识点与例的题目_第3页
3/10
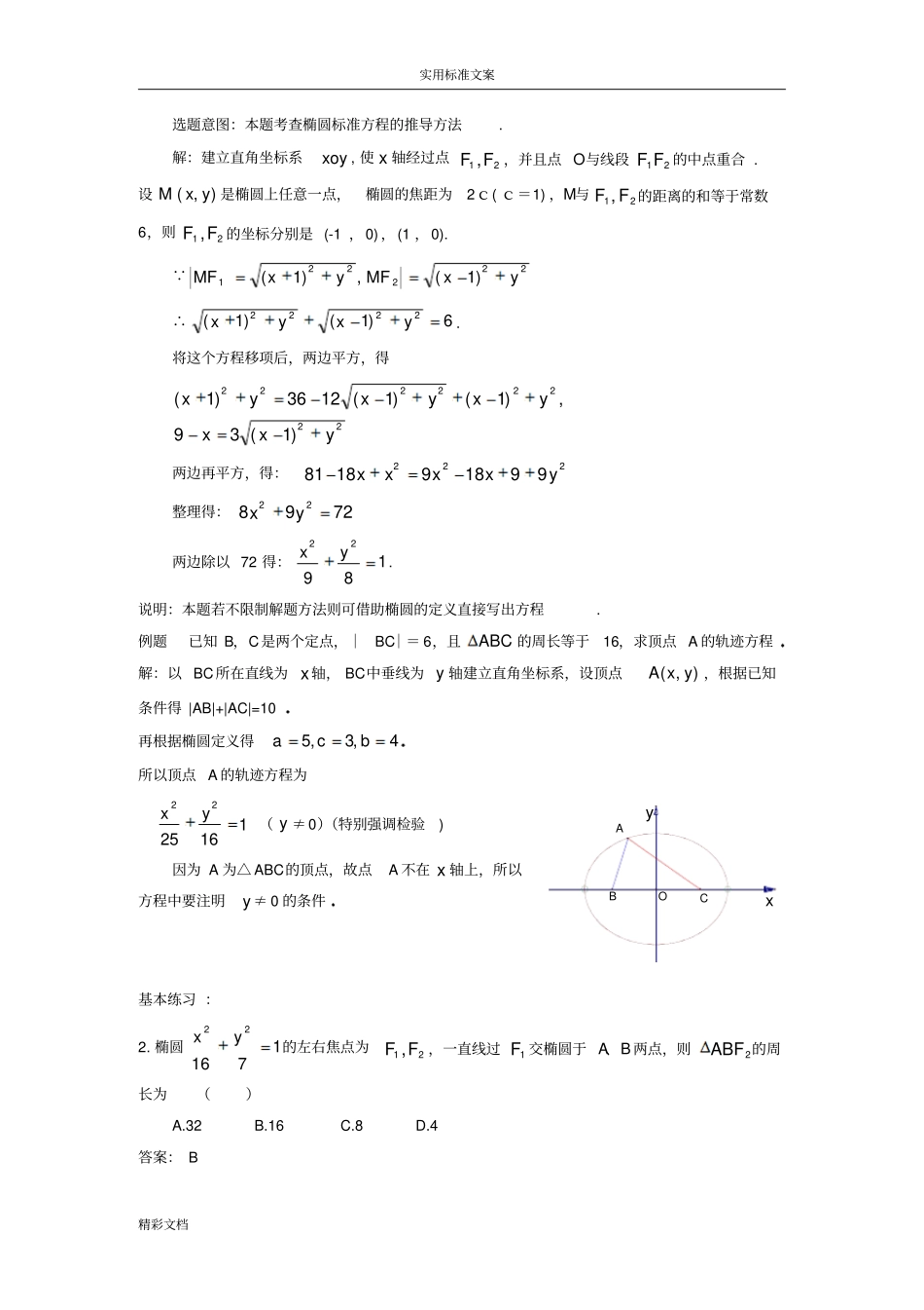
实用标准文案精彩文档PF2F1高二数学《椭圆曲线知识点与例题》1椭圆定义:平面内与两个定点21,FF的距离之和等于常数(大于||21FF)的点的轨迹叫作椭圆,这两个定点叫做椭圆的焦点,两焦点间的距离叫做椭圆的焦距注意:椭圆定义中容易遗漏的两处地方:(1)两个定点---两点间距离确定(2)绳长--轨迹上任意点到两定点距离和确定思考:在同样的绳长下,两定点间距离较长,则所画出的椭圆较扁(线段)在同样的绳长下,两定点间距离较短,则所画出的椭圆较圆(圆)由此,椭圆的形状与两定点间距离、绳长有关(为下面离心率概念作铺垫)2.根据定义推导椭圆标准方程:取过焦点21,FF的直线为x轴,线段21FF的垂直平分线为y轴设),(yxP为椭圆上的任意一点,椭圆的焦距是c2(0c).则)0,(),0,(21cFcF,又设M与21,FF距离之和等于a2(ca22)(常数)aPFPFPP221221)(ycxPF又,aycxycx2)()(2222,化简,得)()(22222222caayaxca,由定义ca22,022ca令222bca代入,得222222bayaxb,两边同除22ba得12222byax此即为椭圆的标准方程它所表示的椭圆的焦点在x轴上,焦点是)0,()0,(21cFcF,中心在坐标原点的椭圆方程其中222bca公式推导:平面内两个定点21,FF之间的距离为2,一个动点M到这两个定点的距离和为6.建立适当的坐标系,推导出点M的轨迹方程.PF2F1xOyMF2F1xOy实用标准文案精彩文档选题意图:本题考查椭圆标准方程的推导方法.解:建立直角坐标系xoy,使x轴经过点21,FF,并且点O与线段21FF的中点重合.设),(yxM是椭圆上任意一点,椭圆的焦距为2c(c=1),M与21,FF的距离的和等于常数6,则21,FF的坐标分别是(-1,0),(1,0). 222221)1(,)1(yxMFyxMF∴6)1()1(2222yxyx.将这个方程移项后,两边平方,得22222222)1(39,)1()1(1236)1(yxxyxyxyx两边再平方,得:222991891881yxxxx整理得:729822yx两边除以72得:18922yx.说明:本题若不限制解题方法则可借助椭圆的定义直接写出方程.例题已知B,C是两个定点,|BC|=6,且ABC的周长等于16,求顶点A的轨迹方程解:以BC所在直线为x轴,BC中垂线为y轴建立直角坐标系,设顶点),(yxA,根据已知条件得|AB|+|AC|=10再根据椭圆定义得4,3,5bca所以顶点A的轨迹方程为1162522yx(y≠0)(特别强调检验)因为A为△ABC的顶点,故点A不在x轴上,所以方程中要注明y≠0的条件基本练习:2.椭圆171622yx的左右焦点为21,FF,一直线过1F交椭圆于A、B两点,则2ABF的周长为()A.32B.16C.8D.4答案:BACBxOy实用标准文案精彩文档3.设∈(0,2),方程1cossin22yx表示焦点在x轴上的椭圆,则∈A.(0,4]B.(4,2)C.(0,4)D.[4,2)答案:B4.如果方程222kyx表示焦点在y轴上的椭圆,则k的取值范围是______.分析:将方程整理,得12222kyx,据题意022kk,解之得0<k<1.5.方程11222mymx表示焦点在y轴上的椭圆,则m的取值范围是______.分析:据题意mmmm2)1(0201,解之得0<m<316.在△ABC中,BC=24,AC、AB的两条中线之和为39,求△ABC的重心轨迹方程.分析:以BC所在直线为x轴,BC的中垂线为y轴建立如图所示的平面直角坐标系,M为重心,则|MB|+|MC|=32×39=26.根据椭圆定义可知,点M的轨迹是以B、C为焦点的椭圆,故所求椭圆方程为12516922yx(y≠0)例1如图,已知一个圆的圆心为坐标原点,半径为2,从这个圆上任意一点P向x轴作垂线段PPˊ,求线段PPˊ的中点M的轨迹(若M分PPˊ之比为21,求点M的轨迹)解:(1)当M是线段PPˊ的中点时,设动点M的坐标为),(yx,则P的坐标为)2,(yx因为点P在圆心为坐标原点半径为2的圆上,所以有4)2(22yx,即1422yx所以点M的轨迹是椭圆,方程是1422yxFEAMCBxOyMP′P2-2xOy实用标准文案精彩文档(2)当M分PPˊ之比为21时,设动点M的坐标为),(yx,则P的坐标为)23,(yx因为点P在圆心为坐标原点半径为2的圆上,所以有4)23(22yx,即1169422yx所以点M的轨迹是椭圆,方程是1169422yx例2已知x轴上的一定点A(1,0),Q为椭圆1422yx上的动点,求AQ中点M的轨迹方程解:设动点M的坐标为),(yx,则Q的坐标为)2,12(yx因为点Q为椭圆1422yx上的点,所以有1)2(4)12(22yx,即14)21(22yx所以点M的轨迹方程是14)21(22yx例3长度为2的线段AB的两个端点A、B分别在x轴、y轴上滑动,点M分AB的比为32,求点M的轨迹...

1、当您付费下载文档后,您只拥有了使用权限,并不意味着购买了版权,文档只能用于自身使用,不得用于其他商业用途(如 [转卖]进行直接盈利或[编辑后售卖]进行间接盈利)。
2、本站所有内容均由合作方或网友上传,本站不对文档的完整性、权威性及其观点立场正确性做任何保证或承诺!文档内容仅供研究参考,付费前请自行鉴别。
3、如文档内容存在违规,或者侵犯商业秘密、侵犯著作权等,请点击“违规举报”。

碎片内容

高二数学椭圆的知识点与例的题目

您可能关注的文档

确认删除?
VIP
微信客服
  • 扫码咨询
会员Q群
  • 会员专属群点击这里加入QQ群
客服邮箱
回到顶部