电脑桌面
添加小米粒文库到电脑桌面
安装后可以在桌面快捷访问

高二数学(理)(2-1第三章3.2向量立几)单元测试标人教A版选修2VIP免费

高二数学(理)(2-1第三章3.2向量立几)单元测试标人教A版选修2_第1页
1/12
高二数学(理)(2-1第三章3.2向量立几)单元测试标人教A版选修2_第2页
2/12
高二数学(理)(2-1第三章3.2向量立几)单元测试标人教A版选修2_第3页
3/12
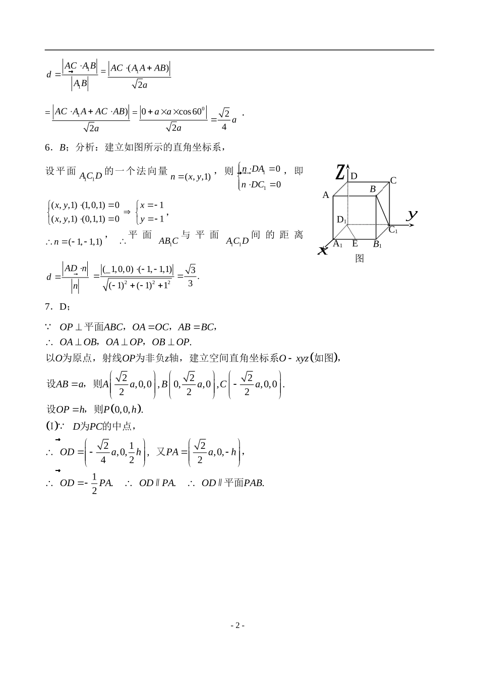
ABCDOSxyz图参考答案一、1.B;2.A;3.A;4.C;分析:建立如图所示的直角坐标系,则22(,,0)22A,22(,,0)22B,22(,,0)22C,22(,,0)22D,(0,0,2)S.(2,2,0)DB�,22(,,2)22CS�.令向量(,,1)nxy,且,nDBnCS��,则00nDBnCS����,(,,1)(2,2,0)022(,,1)(,,2)022xyxy,0220xyxy,22xy,(2,2,1)n.异面直线BD和SC之间的距离为:OCndn�22(,,0)(2,2,1)22(2,2,1)222110255(2)(2)1.5.A;分析:11ABBA为正方形,11ABAB,又平面1ABD平面11ABBA,1AB面1ABD,1AB�是平面1ABD的一个法向量,设点C到平面1ABD的距离为d,则-1-11ACABdAB��=1()2ACAAABa�=1)2ACAAACABa�=00cos60242aaaa.6.B;分析:建立如图所示的直角坐标系,设平面11ACD的一个法向量(,,1)nxy,则1100nDAnDC����,即(,,1)(1,0,1)0(,,1)(0,1,1)0xyxy11xy,(1,1,1)n,平面1ABC与平面11ACD间的距离ADndn�222(_1,0,0)(1,1,1)3.3(1)(1)17.D;.222,0,0,0,,0,,0,0.2220,0,.212,0,,422OPABCOAOCABBCOAOBOAOPOBOPOOPzOxyzABaAaBaCaOPhPhDPCODahPAa�平面,,,,,以为原点,射线为非负轴,建立空间直角坐标系如图,设,则设,则为的中点,又Ⅰ,0,1...2hODPAODPAODPAB�,平面∥∥-2-xABCDA1B1C1D1yzE图2,7,2214,0,,4411,1,,7210cos,.30210sincos,,30210arcsin.30PAahaODaaPBCnODnODnODnODPBCODnODPBC�����可求得平面的法向量设与平面所成的角为,则与平面所成的角为Ⅱ8.B;解以C为坐标原点,CA所在直线为x轴,CB所在直线为y轴,1CC所在直线为z轴,建立直角坐标系,设aCBCA,则)(0,0,aA,)(0,,0aB,)(2,0,1aA,)(1,0,0D∴)(1,2,2aaE,)(31,3,3aaG,)(32,6,6aaGE,)(1,,0aBD, 点E在平面ABD上的射影是ABD的重心G,∴GE平面ABD,∴0BDGE,解得2a.∴)(32,31,31GE,)(2,2,21BA, GE平面ABD,∴GE为平面ABD的一个法向量.由32323634||||,cos111BAGEBAGEBAGE-3-zyxPODCBAAA1B1CBC1DzyxEG∴BA1与平面ABD所成的角的余弦值为37.评析因规定直线与平面所成角]20[,,两向量所成角]0[,,所以用此法向量求出的线面角应满足|2|.9.A;取BC的中点O,连AO.由题意平面ABC平面11BBCC,BCAO,∴AO平面11BBCC,以O为原点,建立如图6所示空间直角坐标系,则)(323,0,0A,)(0,0,23B,)(0,0,29D,)(0,323,231B,∴)(323,0,29AD,)(0,323,31DB,)(0,323,01BB,由题意1BB平面ABD,∴)(0,323,01BB为平面ABD的法向量.设平面DAB1的法向量为),,(2zyxn,则DBnADn122,∴00122DBnADn,∴03233032329yxzx,即xzyx3323.∴不妨设)23,1,23(2n,由212323323||||,cos212121nBBnBBnBB,得60,21nBB.故所求二面角BADB1的大小为60.评析:(1)用法向量的方法处理二面角的问题时,将传统求二面角问题时的三步曲:“找——证——求”直接简化成了一步曲:“计算”,这表面似乎谈化了学生的空间想象能力,但实质不然,向量法对学生的空间想象能力要求更高,也更加注重对学生创新能力的培养,体现了教育改革的精神.(2)此法在处理二面角问题时,可能会遇到二面角的具体大小问题,如本题中若取-4-)23,1,23(2n时,会算得21,cos21nBB,从而所求二面角为120,但依题意只为60.因为二面角的大小有时为锐角、直角,有时也为钝角.所以在计算之前不妨先依题意判...

1、当您付费下载文档后,您只拥有了使用权限,并不意味着购买了版权,文档只能用于自身使用,不得用于其他商业用途(如 [转卖]进行直接盈利或[编辑后售卖]进行间接盈利)。
2、本站所有内容均由合作方或网友上传,本站不对文档的完整性、权威性及其观点立场正确性做任何保证或承诺!文档内容仅供研究参考,付费前请自行鉴别。
3、如文档内容存在违规,或者侵犯商业秘密、侵犯著作权等,请点击“违规举报”。

碎片内容

高二数学(理)(2-1第三章3.2向量立几)单元测试标人教A版选修2

海博书城+ 关注
实名认证
内容提供者

从事历史教学,热爱教育,高度负责。

确认删除?
VIP
微信客服
  • 扫码咨询
会员Q群
  • 会员专属群点击这里加入QQ群
客服邮箱
回到顶部