电脑桌面
添加小米粒文库到电脑桌面
安装后可以在桌面快捷访问

安徽省铜陵市高二下学期期中考试数学(理)答案 安徽省铜陵市高二数学下学期期中试卷 理(PDF) 安徽省铜陵市高二数学下学期期中试卷 理(PDF)VIP免费

安徽省铜陵市高二下学期期中考试数学(理)答案 安徽省铜陵市高二数学下学期期中试卷 理(PDF) 安徽省铜陵市高二数学下学期期中试卷 理(PDF)_第1页
1/2
安徽省铜陵市高二下学期期中考试数学(理)答案 安徽省铜陵市高二数学下学期期中试卷 理(PDF) 安徽省铜陵市高二数学下学期期中试卷 理(PDF)_第2页
2/2
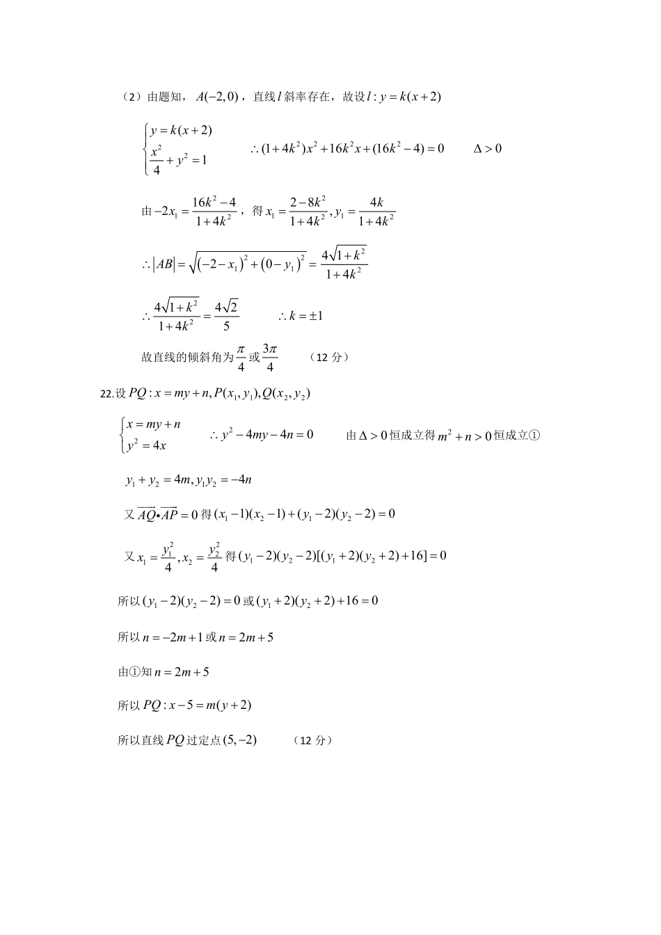
理科数学答案DABCCDBBACCD13.1614.2615.316.9217.4a或01a18.设直线:1(2)lykx则21(2)4ykxyx244(21)0kyyk(1)一个公共点:0k或00k10,1,2k(4分)(2)两个公共点:00k112k且0k(8分)(3)没有公共点:00k12k或1k(12分)19.(1)设221(0)mynymn,将点,PQ坐标代入求得11,7525mn2212575yx(6分)(2)设22(0)43xy,点2,23代入得3221912yx(12分)20.设点1122(,),(,),(,)PxyQxyMxy则22112211416416xyxy12121212()()4()()0xxxxyyyy(4分)当12xx时,弦PQ斜率存在记为k,则40xyk与1(1)ykx联立消去k,得22440xyxy(9分)当12xx时,(1,0)M满足上式(11分)综上点M的轨迹方程是22440xyxy(在椭圆内)(12分)注:本题因为点M的轨迹全部都在椭圆内,故“在椭圆内”可不写21.(1)2214xy(3分)(2)由题知,(2,0)A,直线l斜率存在,故设:(2)lykx222222(2)(14)16(164)014ykxkxkxkxy0由212164214kxk,得21122284,1414kkxykk222112412014kABxyk224142145kk1k故直线的倾斜角为4或34(12分)22.设1122:,(,),(,)PQxmynPxyQxy224404xmynymynyx由0恒成立得20mn恒成立①12124,4yymyyn又0AQAP得1212(1)(1)(2)(2)0xxyy又221212,44yyxx得1212(2)(2)[(2)(2)16]0yyyy所以12(2)(2)0yy或12(2)(2)160yy所以21nm或25nm由①知25nm所以:5(2)PQxmy所以直线PQ过定点(5,2)(12分)

1、当您付费下载文档后,您只拥有了使用权限,并不意味着购买了版权,文档只能用于自身使用,不得用于其他商业用途(如 [转卖]进行直接盈利或[编辑后售卖]进行间接盈利)。
2、本站所有内容均由合作方或网友上传,本站不对文档的完整性、权威性及其观点立场正确性做任何保证或承诺!文档内容仅供研究参考,付费前请自行鉴别。
3、如文档内容存在违规,或者侵犯商业秘密、侵犯著作权等,请点击“违规举报”。

碎片内容

安徽省铜陵市高二下学期期中考试数学(理)答案 安徽省铜陵市高二数学下学期期中试卷 理(PDF) 安徽省铜陵市高二数学下学期期中试卷 理(PDF)

慧源书店+ 关注
实名认证
内容提供者

从事历史教学,热爱教育,高度负责。

相关文档

确认删除?
VIP
微信客服
  • 扫码咨询
会员Q群
  • 会员专属群点击这里加入QQ群
客服邮箱
回到顶部