电脑桌面
添加小米粒文库到电脑桌面
安装后可以在桌面快捷访问

安徽省太和县高二下学期第三次月考考试数学(文)答案 安徽省阜阳市太和县高二数学下学期第三次月考试卷 文(PDF) 安徽省阜阳市太和县高二数学下学期第三次月考试卷 文(PDF)VIP免费

安徽省太和县高二下学期第三次月考考试数学(文)答案 安徽省阜阳市太和县高二数学下学期第三次月考试卷 文(PDF) 安徽省阜阳市太和县高二数学下学期第三次月考试卷 文(PDF)_第1页
1/4
安徽省太和县高二下学期第三次月考考试数学(文)答案 安徽省阜阳市太和县高二数学下学期第三次月考试卷 文(PDF) 安徽省阜阳市太和县高二数学下学期第三次月考试卷 文(PDF)_第2页
2/4
安徽省太和县高二下学期第三次月考考试数学(文)答案 安徽省阜阳市太和县高二数学下学期第三次月考试卷 文(PDF) 安徽省阜阳市太和县高二数学下学期第三次月考试卷 文(PDF)_第3页
3/4
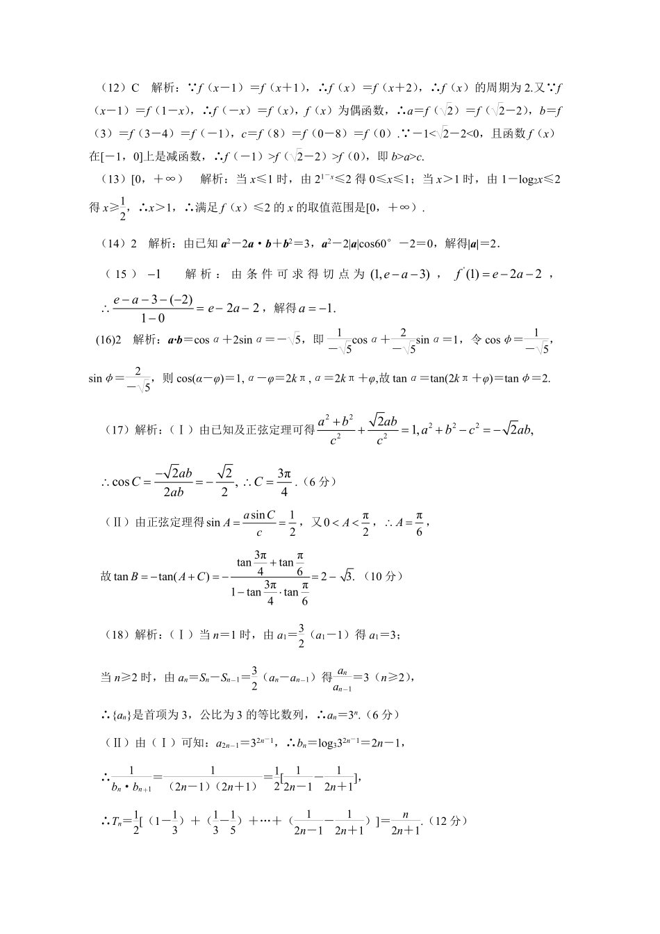
文科数学参考答案题号(1)(2)(3)(4)(5)(6)(7)(8)(9)(10)(11)(12)答案BDDACCCADBBC(1)B解析:由已知可得A∪B=(-∞,3].(2)D解析:-2+i1+2i=i(-2+i)i(1+2i)=-(1+2i)i(1+2i)=-1i=i.(3)D解析:当log2x∈N时,x=1,2,4,8,故概率为410=25.(4)A解析:根据含有一个量词的否定可知选A.(5)C解析:作出可行域,可知z=2x+y过点(43,2)时取最大值143.(6)C解析:双曲线C的渐近线方程为y=±bax,由题意得ba=52a2+b2=36,解得a2=16b2=20,故C的方程为x216-y220=1.(7)C解析:S11=11×(a1+a11)2=11×2a62=11a6=22π3,a6=2π3,∴2π3·b6=π23,b6=π2,∴b7=π,tan(a6+b7)=tan(2π3+π)=-tanπ3=-3.(8)A解析:该三棱锥的底面三角形的一条边为4,该边上的高为2,三棱锥的高为3,所以其体积V=13·12·4·2·3=4.(9)D解析:i=1,N=12,a=2,b=2;i=2,N=32,a=2,b=23;i=3,N=12,a=23,b=2;i=4,N=16,a=2,b=6;i=5,N=116,a=6,b=611,i=6,输出N=116.(10)B解析:点M到直线AB的距离的最小值就是圆心(-1,-1)到直线的距离减去圆的半径2,由于圆心到直线AB:x+y-2=0的距离|112|222d,故距离的最小值是2.(11)B解析: cosB+C2=cosπ-A2=sinA2,∴cosA+2cosB+C2=1-2sin2A2+2sinA2=-2(sinA2-12)2+32=32,∴sinA2=12,cosA=32-1=12.由根与系数的关系知b+c=3,bc=2,∴a2=b2+c2-2bccosA=(b+c)2-3bc=9-6=3.(12)C解析: f(x-1)=f(x+1),∴f(x)=f(x+2),∴f(x)的周期为2.又 f(x-1)=f(1-x),∴f(-x)=f(x),f(x)为偶函数,∴a=f(2)=f(2-2),b=f(3)=f(3-4)=f(-1),c=f(8)=f(0-8)=f(0). -1<2-2<0,且函数f(x)在[-1,0]上是减函数,∴f(-1)>f(2-2)>f(0),即b>a>c.(13)[0,+∞)解析:当x≤1时,由21-x≤2得0≤x≤1;当x>1时,由1-log2x≤2得x≥12,∴x>1,∴满足f(x)≤2的x的取值范围是[0,+∞).(14)2解析:由已知a2-2a·b+b2=3,a2-2|a|cos60°-2=0,解得|a|=2.(15)1解析:由条件可求得切点为(1,3)ea,'(1)22fea,3(2)2210eaea,解得1.a(16)2解析:a·b=cosα+2sinα=-5,即1-5cosα+2-5sinα=1,令cosφ=1-5,sinφ=2-5,则cos(α-φ)=1,α-φ=2kπ,α=2kπ+φ,故tanα=tan(2kπ+φ)=tanφ=2.(17)解析:(Ⅰ)由已知及正弦定理可得222222221,2,abababcabcc22cos,22abCab3π4C.(6分)(Ⅱ)由正弦定理得sin1sin2aCAc,又π02A,π6A,故3ππtantan46tantan()23.3ππ1tantan46BAC(10分)(18)解析:(Ⅰ)当n=1时,由a1=32(a1-1)得a1=3;当n≥2时,由an=Sn-Sn-1=32(an-an-1)得anan-1=3(n≥2),∴{an}是首项为3,公比为3的等比数列,∴an=3n.(6分)(Ⅱ)由(Ⅰ)可知:a2n-1=32n-1,∴bn=log332n-1=2n-1,∴1bn·bn+1=1(2n-1)(2n+1)=12[12n-1-12n+1],∴Tn=12[(1-13)+(13-15)+…+(12n-1-12n+1)]=n2n+1.(12分)(19)解析:(Ⅰ)最右边一组的频率为51+2+2+20+5=16,∴样本容量为2016=120.(4分)(Ⅱ)1016113532105151751514530115x.(8分)分)(12.70461)101135(32)101105(151)10175(151)10145(301)10115(222222s∴椭圆C的方程为x26+y23=1.(4分)(Ⅱ)设直线PQ的方程为y=x+m,P(x1,y1),Q(x2,y2),联立x26+y23=1y=x+m,得3x2+4mx+2m2-6=0,x1+x2=-4m3,x1x2=2m2-63.Δ=(4m)2-4×3×(2m2-6)=-8m2+72>0,∴m∈(-3,3),又直线l不过点M,∴-1≠-2+m,m≠1. MP→=(x1+2,y1+1),MQ→=(x2+2,y2+1),∴MP→·MQ→=(x1+2)(x2+2)+(y1+1)(y2+1)=2x1x2+(m+3)(x1+x2)+m2+2m+5=2×2m2-63+(m+3)×-4m3+m2+2m+5=m2-2m...

1、当您付费下载文档后,您只拥有了使用权限,并不意味着购买了版权,文档只能用于自身使用,不得用于其他商业用途(如 [转卖]进行直接盈利或[编辑后售卖]进行间接盈利)。
2、本站所有内容均由合作方或网友上传,本站不对文档的完整性、权威性及其观点立场正确性做任何保证或承诺!文档内容仅供研究参考,付费前请自行鉴别。
3、如文档内容存在违规,或者侵犯商业秘密、侵犯著作权等,请点击“违规举报”。

碎片内容

安徽省太和县高二下学期第三次月考考试数学(文)答案 安徽省阜阳市太和县高二数学下学期第三次月考试卷 文(PDF) 安徽省阜阳市太和县高二数学下学期第三次月考试卷 文(PDF)

确认删除?
VIP
微信客服
  • 扫码咨询
会员Q群
  • 会员专属群点击这里加入QQ群
客服邮箱
回到顶部