电脑桌面
添加小米粒文库到电脑桌面
安装后可以在桌面快捷访问

内蒙古乌兰浩特市七年级数学下学期第一次月考试题(无答案) 新人教版 试题VIP免费

内蒙古乌兰浩特市七年级数学下学期第一次月考试题(无答案) 新人教版 试题_第1页
1/4
内蒙古乌兰浩特市七年级数学下学期第一次月考试题(无答案) 新人教版 试题_第2页
2/4
内蒙古乌兰浩特市七年级数学下学期第一次月考试题(无答案) 新人教版 试题_第3页
3/4
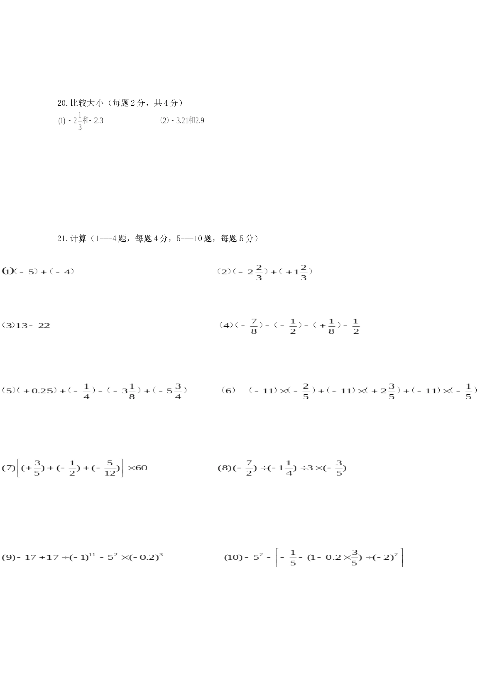
内蒙古乌兰浩特市2017-2018学年七年级数学下学期第一次月考试题一、选择题(12×3分=36分)1.下面四个数中是负数的是()A.-3B.0C.0.2D.32.下列说法正确的是()A.正整数和正分数统称为正有理数B.正整数和负整数统称为整数C.正整数、负整数、正分数、负分数统称为有理数D.0不是有理数4.下列说法正确的有()①一个数不是正数就是负数;②海拔-155m表示比海平面低155m;③负分数不是有理数;④零是整数,也是正数;⑤零是整数,也是正数;A.1个B.2个C.3个D.4个5.-2016的相反数是()A.2016B.-2016C.20161D.201616.若3a,则a的值是()3.31.3.3.DCBA7.计算6-(-6)的结果是()A.12B.6C.0D.-128.若)则(且,0,0abba异号且正数的绝对值大异号且负数的绝对值大bD.a,bC.a,0b0,B.a0b0,A.a9.下列说法正确的是()A.两数之差一定小于被减数B.某个数减去一个负数,一定大于这个数减去一个正数C.0减去任何一个数,都得负数D.互为相反数的两个数相减一定等于010.下列变换加数位置的变形中,正确的是()7.18.15.25.48.15.27.15.4.34124321.6131434141614331.54414541.DCBA11.a,b,c符合下面哪一种情况时,这三个数相乘的积必是正数()A.a,b,c同号.B.b是负数,a和c同号C.a是负数,b和c异号D.c是正数,a和b异号12.一个数的平方等于16,则这个数是()8.4.4.4.DCBA二、填空题(6×3分=18分)13.)213(.14.312的相反数是,倒数是,绝对值是.15.若m,n互为相反数,则nm1=.16.实数a,b在数轴上的位置如图所示,则ba,的大小关系是(用“>”连接)17.某品种兔子,一对兔子每个月能繁殖3对小兔子,而每对小兔子,一个月后也能繁殖3对新小兔子,总之,所有的每对小兔子,都是每月繁殖3对小兔子,如果开始只有一对兔子,那么半年后有对兔子(不考虑意外死亡).18.对任意有理数a,b,规定a*b=ab-b,则0*(-2016)的值为.三、解答题(共66分)19.化简(每题2分,共4分)a0b20.比较大小(每题2分,共4分)21.计算(1---4题,每题4分,5---10题,每题5分)22.(6分)的值求已知)3()2()1(,0321cbacba23.(6分)某人用400元购买了8套儿童服装,准备以一定价格出售。如果每套儿童服装以55元的价格为标准,实际出售是超出的记作正数,不足的记作负数,记录如下:+2,-4,+2,+1,-2,-1,0,-2.(单位:元)(1)通过计算说明当他卖完这8套儿童服装后是盈利还是亏损?(2)每套儿童服装的平均售价是多少元?

1、当您付费下载文档后,您只拥有了使用权限,并不意味着购买了版权,文档只能用于自身使用,不得用于其他商业用途(如 [转卖]进行直接盈利或[编辑后售卖]进行间接盈利)。
2、本站所有内容均由合作方或网友上传,本站不对文档的完整性、权威性及其观点立场正确性做任何保证或承诺!文档内容仅供研究参考,付费前请自行鉴别。
3、如文档内容存在违规,或者侵犯商业秘密、侵犯著作权等,请点击“违规举报”。

碎片内容

内蒙古乌兰浩特市七年级数学下学期第一次月考试题(无答案) 新人教版 试题

确认删除?
VIP
微信客服
  • 扫码咨询
会员Q群
  • 会员专属群点击这里加入QQ群
客服邮箱
回到顶部