电脑桌面
添加小米粒文库到电脑桌面
安装后可以在桌面快捷访问

八年级上-实数运算练习题-001-160VIP免费

八年级上-实数运算练习题-001-160_第1页
1/4
八年级上-实数运算练习题-001-160_第2页
2/4
八年级上-实数运算练习题-001-160_第3页
3/4
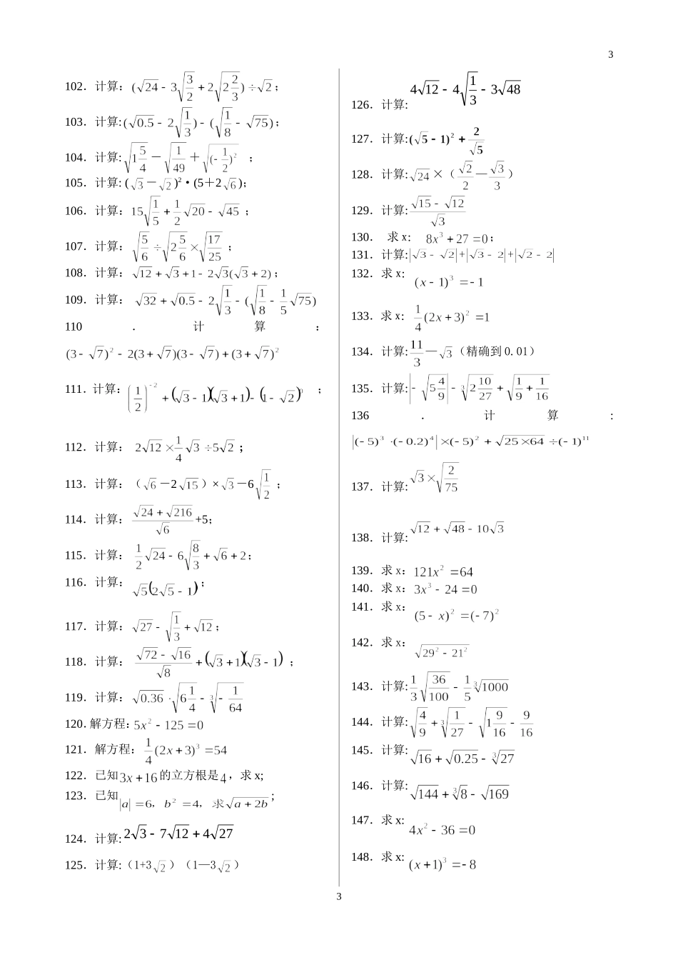
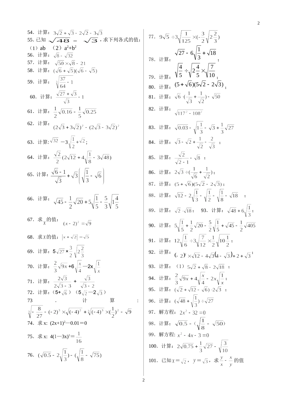
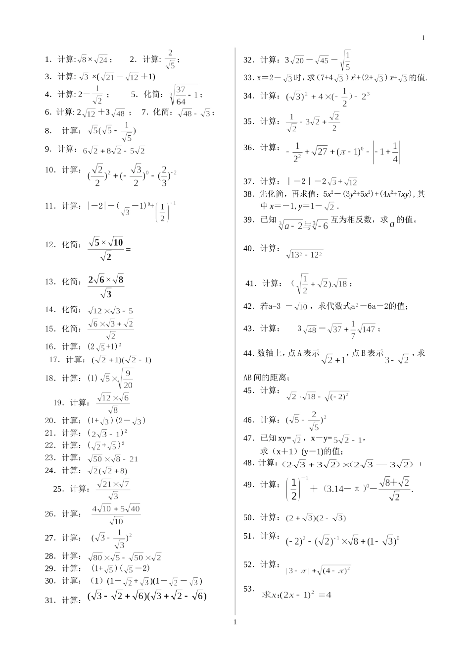
111.计算:×;2.计算:;3.计算:×(-+1)4.计算:2-;5.化简:;6.计算:2+3;7.化简:;8.计算:9.计算:10.计算:11.计算:|-2|-(-1)0+12.化简:13.化简:14.化简:15.化简:16.计算:(2+1)217.计算:18.计算:(1)19.计算:20.计算:(1+)(2-)21.计算:()222.计算:(+)223.计算:24.计算:25.计算:26.计算:27.计算:28.计算:29.计算:(1+)(-2)30.计算:(1)(1-+)(1--)31.计算:)623)(623(32.计算:3--33.x=2-时,求(7+4)x2+(2+)x+的值.34.计算:35.计算:36.计算:37.计算:∣-2∣-2+38.先化简,再求值:5x2-(3y2+5x2)+(4x2+7xy),其中x=-1,y=1-.39.已知互为相反数,求的值。40.计算:41.计算:(;42.若a=3-,求代数式a-6a-2的值;43.计算:3-;44.数轴上,点A表示,点B表示,求AB间的距离;45.计算:46.计算:47.已知xy=,x-y=,求(x+1)(y-1)的值;48.计算:;49.计算:50.计算:51.计算:52.计算:53.2254.计算:55.已知,求下列各式的值:(1)ab(2)a2+b256.计算:57.计算:58.计算:59.计算:60.计算:61.计算:62.计算:63.计算:-3+;64.计算:65.计算:66.计算:67.求的值:68.求的值:69.计算:5×70.计算:+6—2x71.计算:+72.计算:(5+)(5—2)73.计算:74.求x:(2x+1)2—0.01=075.求x:4(1—3x)3=76.77.78.计算:1831627;79.计算:10754254;80.计算:)3225)(65(;81.计算:82.计算:83.计算:84.计算:;85.计算:;86.计算:;87.计算:;88.计算:;89.计算:;93.计算:;90.计算:91.计算:;92.计算:;93.计算:(1);94.计算:;95.计算:;96.计算:97.解方程:98.计算:99.解方程:100.计算:101.已知=,=,求的值33102.计算:;103.计算:;104.计算:-+;105.计算:(-)2·(5+2);106.计算:;107.计算:;108.计算:;109.计算:110.计算:111.计算:;112.计算:;113.计算:(-2)×-6;114.计算:+5;115.计算:;116.计算:;117.计算:;118.计算:;119.计算:120.解方程:121.解方程:122.已知的立方根是,求x;123.已知;124.计算:27412732125.计算:(1+3)(1—3)126.计算:483314124127.计算:128.计算:×(—)129.计算:130.求x:;131.计算:++132.求x:133.求x:134.计算:—(精确到0.01)135.计算:136.计算:137.计算:138.计算:139.求x:140.求x:141.求x:142.求x:143.计算:144.计算:145.计算:146.计算:147.求x:148.求x:44149.计算:150.计算:151.计算:152.计算:153.计算:154.已知实数a有两个平方根x和y,且满足,求a;155.若5x+19的算术平方根是8,求x.156.一个Rt△的两条直角边长分别为cm和cm,求这个直角三角形的面积。

1、当您付费下载文档后,您只拥有了使用权限,并不意味着购买了版权,文档只能用于自身使用,不得用于其他商业用途(如 [转卖]进行直接盈利或[编辑后售卖]进行间接盈利)。
2、本站所有内容均由合作方或网友上传,本站不对文档的完整性、权威性及其观点立场正确性做任何保证或承诺!文档内容仅供研究参考,付费前请自行鉴别。
3、如文档内容存在违规,或者侵犯商业秘密、侵犯著作权等,请点击“违规举报”。

碎片内容

八年级上-实数运算练习题-001-160

文章天下+ 关注
实名认证
内容提供者

各种文档应有尽有

确认删除?
VIP
微信客服
  • 扫码咨询
会员Q群
  • 会员专属群点击这里加入QQ群
客服邮箱
回到顶部