电脑桌面
添加小米粒文库到电脑桌面
安装后可以在桌面快捷访问

高考数学试题分类汇编——立体几何VIP免费

高考数学试题分类汇编——立体几何_第1页
1/7
高考数学试题分类汇编——立体几何_第2页
2/7
高考数学试题分类汇编——立体几何_第3页
3/7
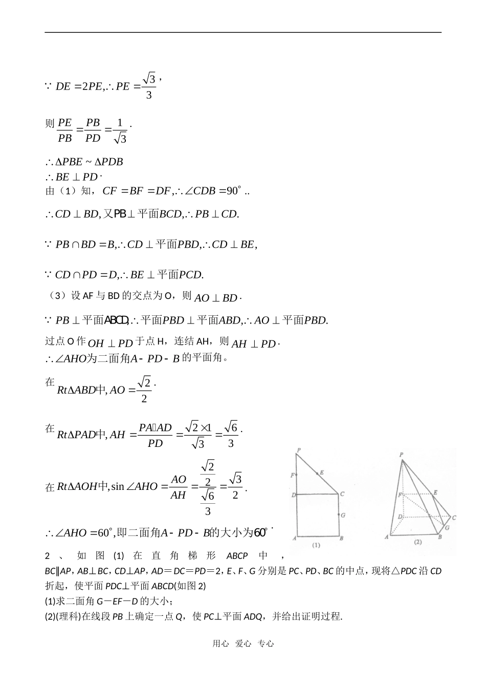
ABCDEPzxy高考数学试题分类汇编——立体几何1、已知如图四棱锥P—ABCD中,底面ABCD是直角梯形,AD∥BC,AB⊥BC,AB=AD=1,BC=2,又PB⊥平面ABCD,且PB=1,点E在棱PD上,且DE=2PE.(1)求异面直线PA与CD所成的角的大小;(2)求证:BE⊥平面PCD;(3)求二面角A—PD—B的大小.w.w.w.k.s.5.u.c.o.m解法一:如图,以B为原点,分别以BC、BA、BP为x,y、z轴,建立空间直角坐标系,则(0,0,0),(2,0,0),(0,1,0),(1,1,0),(0,0,1),2BCADPDEPE又112(,,)333E(1)(0,1,1),(1,1,0)PACD�11cos,2||||22PACDPACDPACD���………4分60PACD异面直线与所成的角为.(2)112(,,),(1,1,1),(2,0,1).333BEPDPC�用心爱心专心ABCDEP11211(1)0.333BEPD�11220(1)0.333BEPC�,,BEPDBEPCPDPCP又..ABPCD平面(3)设平面PAD的一个法向量为00000(,,),00nPAyznxyzxyznPD����则由得.令01,(2,1,1).zn则(0,0,1)BP�又,设平面PBD的法向量为1111(,,),nxyz1111110000znBPxyznPD����则由得令111,(1,1,0)xn则010101211(1)3cos,2||||62nnnnnn01,120nn又二面角A—PD—B为锐二面角,故二面角A—PD—B的大小为60.解法二:(1)取BC中点F,连结AF,则CF=AD,且CF∥AD,∴四边形ADCF是平行四边形,∴AF∥CD.∴∠PAF(或其补角)为异面直线PA与CD所成的角. PB⊥平面ABCD,∴PB⊥BA,PB⊥BF. PB=AB=BF=1,,ABBC∴PA=PF=AF=2.,60PAFPAF是正三角形即异面直线PA与CD所成的角等于60.(2),1,2RtPBDPBBD在中,PD=3用心爱心专心ABCDEPHFO32,3DEPEPE,则13PEPBPBPD.~PBEPDBBEPD.由(1)知,,90CFBFDFCDB..,,.CDBDBCDPBCD又PB平面,,,PBBDBCDPBDCDBE平面,.CDPDDBEPCD平面(3)设AF与BD的交点为O,则AOBD.,.PBPBDABDAOPBD平面ABCD,平面平面平面过点O作OHPD于点H,连结AH,则AHPD.AHOAPDB为二面角的平面角。在2,2RtABDAO中.在216,33PAADRtPADAHPD中.在232,sin263AORtAOHAHOAH中.60,AHOAPDB即二面角的大小为60.2、如图(1)在直角梯形ABCP中,BC∥AP,AB⊥BC,CD⊥AP,AD=DC=PD=2,E、F、G分别是PC、PD、BC的中点,现将△PDC沿CD折起,使平面PDC⊥平面ABCD(如图2)(1)求二面角G-EF-D的大小;(2)(理科)在线段PB上确定一点Q,使PC⊥平面ADQ,并给出证明过程.用心爱心专心(文科)当Q点落在PB中点时,求PC与平面ADQ所成角的大小.(1)∠DFH就是二面角G-EF-D的平面角…2分在Rt△HDF中,DF=PD=1,DH=AD=1…………4分∴∠DFH=45°,即二面角G-EF-D的大小为45°.…………6分(2)当点Q是线段PB的中点时,有PQ⊥平面ADQ.…………7分证明如下:E是PC中点,∴EQ∥BC,又AD∥BC,故EQ∥AD,从而A、D、E、Q四点共面在Rt△PDC中,PD=DC,E为PC中点∴PC⊥DE,又 PD⊥平面ABCD…………10分∴AD⊥PC,又AD∩DE=D∴PC⊥平面ADEQ,即PC⊥平面ADQ.…………12分解法二:(1)建立如图所示空间直角坐标系,设平面GEF的一个法向量为n=(x,y,z),则取n=(1,0,1)…………4分又平面EFD的法向量为m=(1,0,0)∴cos=…………6分∴=45°…………7分(2)设PQ=λPB(0<λ<1)则AQ=AP+PQ=(-2+2λ,2λ,2-2λ)…………9分AQ⊥PCAQ·PC=02×2λ-2(2-2λ)=0λ=…………11分又AD⊥PC,∴PC⊥平面ADQλ=点Q是线段PB的中点.…………12分(注:文科试题请参考上面解答相应给分)3.如图,直四棱柱ABCD—A1B1C1D1的高为3,底面是边长为4且∠DAB=60°的菱形,AC∩BD=O,A1C1∩B1D1=O1,E是O1A的中点.(1)求二面角O1-BC-D的大小;(2)求点E到平面O1BC的距离.解法一(1)过O作OFBC⊥于F,连接O1F,用心爱心专心EO1OD1C1B1DCBAA1OO1⊥面AC,∴BCO⊥1F,O∴∠1FO是二面角O...

1、当您付费下载文档后,您只拥有了使用权限,并不意味着购买了版权,文档只能用于自身使用,不得用于其他商业用途(如 [转卖]进行直接盈利或[编辑后售卖]进行间接盈利)。
2、本站所有内容均由合作方或网友上传,本站不对文档的完整性、权威性及其观点立场正确性做任何保证或承诺!文档内容仅供研究参考,付费前请自行鉴别。
3、如文档内容存在违规,或者侵犯商业秘密、侵犯著作权等,请点击“违规举报”。

碎片内容

高考数学试题分类汇编——立体几何

您可能关注的文档

确认删除?
VIP
微信客服
  • 扫码咨询
会员Q群
  • 会员专属群点击这里加入QQ群
客服邮箱
回到顶部