电脑桌面
添加小米粒文库到电脑桌面
安装后可以在桌面快捷访问

初中数学计算能力训练及强化练习VIP免费

初中数学计算能力训练及强化练习_第1页
1/7
初中数学计算能力训练及强化练习_第2页
2/7
初中数学计算能力训练及强化练习_第3页
3/7
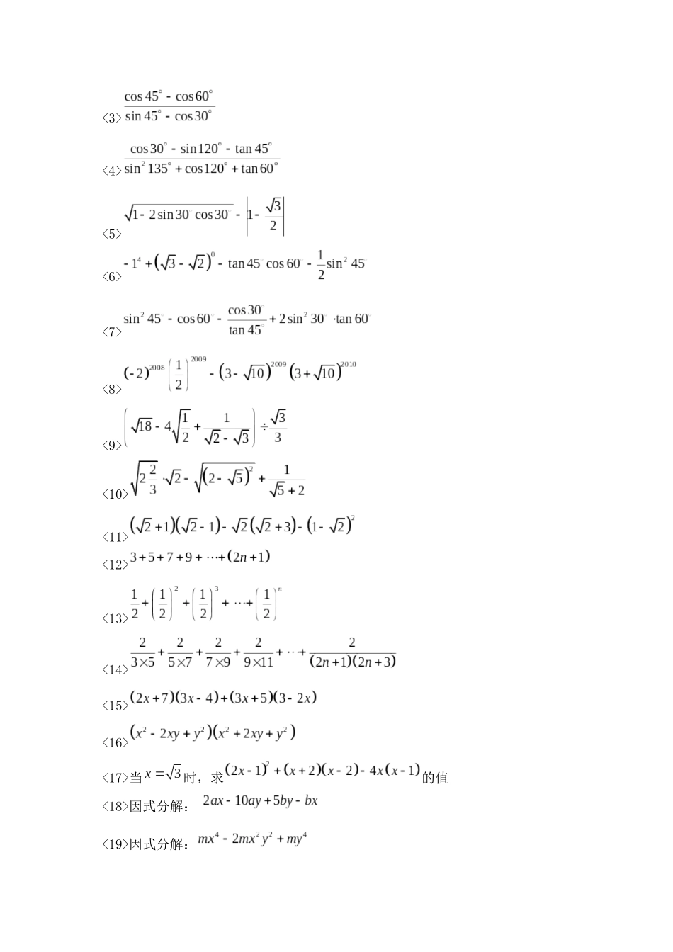
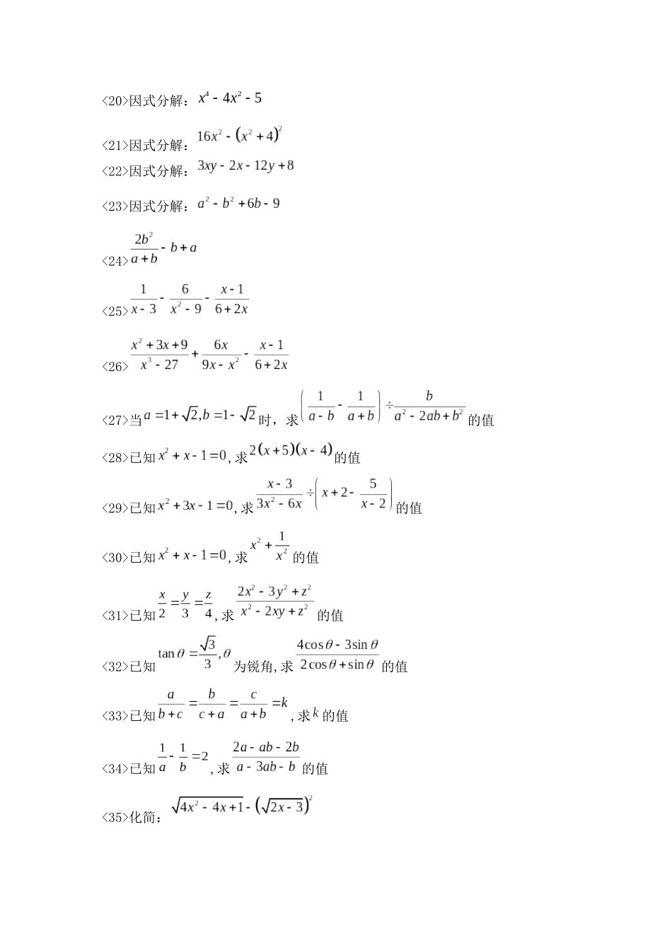
初中数学计算能力训练计算是一种能力,亦是提高成绩的关键数学是一门严谨的学科,魅力又在于“活”,数学处处都与计算密切相关,计算不是枯燥的代名词,充满了观察、推理、判断,培养学生思考问题的灵活性以及周密严谨的思维能力等。中考数学满分120分,与计算相关的题目约占100分,准确、快速地得出计算结果,能有效提高学生理科成绩,帮助学生直达名校!学生常见的计算问题有哪些?学生在分析计算错误时,不知道如何分析,往往归因于“粗心马虎”,告诉自己“下次注意”就可以,可事实却总是事与愿违。在计算方面学生容易出现哪些问题呢?1.看到题目,不仔细审题,就慌忙答题,要求解周长,仅求出边长,做到一半发现遗漏隐含条件或有其他简单方法,思路大乱。2.在大脑停止思考时,容易疏忽大意,抄错数。3.没有严格依据法则和运算律来运算。准确记忆法则和运算律是前提,关键是无论何时何地都能正确地运用。比如两式相减求绝对值,如果前面有负号,容易错;乘法满足分配律,不少学生也误认为除法也满足分配律等。4.没有按照计算流程来走,认为一步一步写计算很麻烦,计算时跳步太大。5.越是成功在望,越容易大意,不少同学在倒数计算第二步时放松警惕,结果导致结果错误。6.缺乏检查意识,不知道怎么检查。误以为检查就是把题目再做一遍,对异常结果不敏感,不知道积累自己的易错点,不善于结合题目背景进行检查,比如价格不可能是负数等。初中数学计算能力训练目录<1><2><3><4><5><6><7><8><9><10><11><12><13><14><15><16><17>当时,求的值<18>因式分解:<19>因式分解:<20>因式分解:<21>因式分解:<22>因式分解:<23>因式分解:<24><25><26><27>当时,求的值<28>已知,求的值<29>已知,求的值<30>已知,求的值<31>已知,求的值<32>已知为锐角,求的值<33>已知,求的值<34>已知,求的值<35>化简:<36>先化简再自选一个自己喜欢的数代入求值<37>已知,求的值<38>已知,求的值<39>配方:<40>配方:<41>配方:<42>配方:<43>配方:<44><45><46><47><48><49><50><51><52><53><54><55><56><57><58><59><60><61><62><63><64><65><66><67><68><69>请写出满足的所有整数<70>解不等式并把解集在数轴上表示出来<71>解不等式并把解集在数轴上表示出来<72>求不等式的最大整数解<73>解不等式并把解集在数轴上表示出来<74>解不等式并把解集在数轴上表示出来<75>解不等式并把解集在数轴上表示出来<76>解不等式并把解集在数轴上表示出来<77>解不等式组并把解集在数轴上表示出来<78>解不等式组并把解集表示在数轴上<79>解不等式组并写出该不等式的整数解<80>求不等式组的非正整数解<81>求不等式组的最大整数解

1、当您付费下载文档后,您只拥有了使用权限,并不意味着购买了版权,文档只能用于自身使用,不得用于其他商业用途(如 [转卖]进行直接盈利或[编辑后售卖]进行间接盈利)。
2、本站所有内容均由合作方或网友上传,本站不对文档的完整性、权威性及其观点立场正确性做任何保证或承诺!文档内容仅供研究参考,付费前请自行鉴别。
3、如文档内容存在违规,或者侵犯商业秘密、侵犯著作权等,请点击“违规举报”。

碎片内容

初中数学计算能力训练及强化练习

您可能关注的文档

确认删除?
VIP
微信客服
  • 扫码咨询
会员Q群
  • 会员专属群点击这里加入QQ群
客服邮箱
回到顶部