电脑桌面
添加小米粒文库到电脑桌面
安装后可以在桌面快捷访问

光电信息物理基础课后答案已整理VIP免费

光电信息物理基础课后答案已整理_第1页
1/22
光电信息物理基础课后答案已整理_第2页
2/22
光电信息物理基础课后答案已整理_第3页
3/22
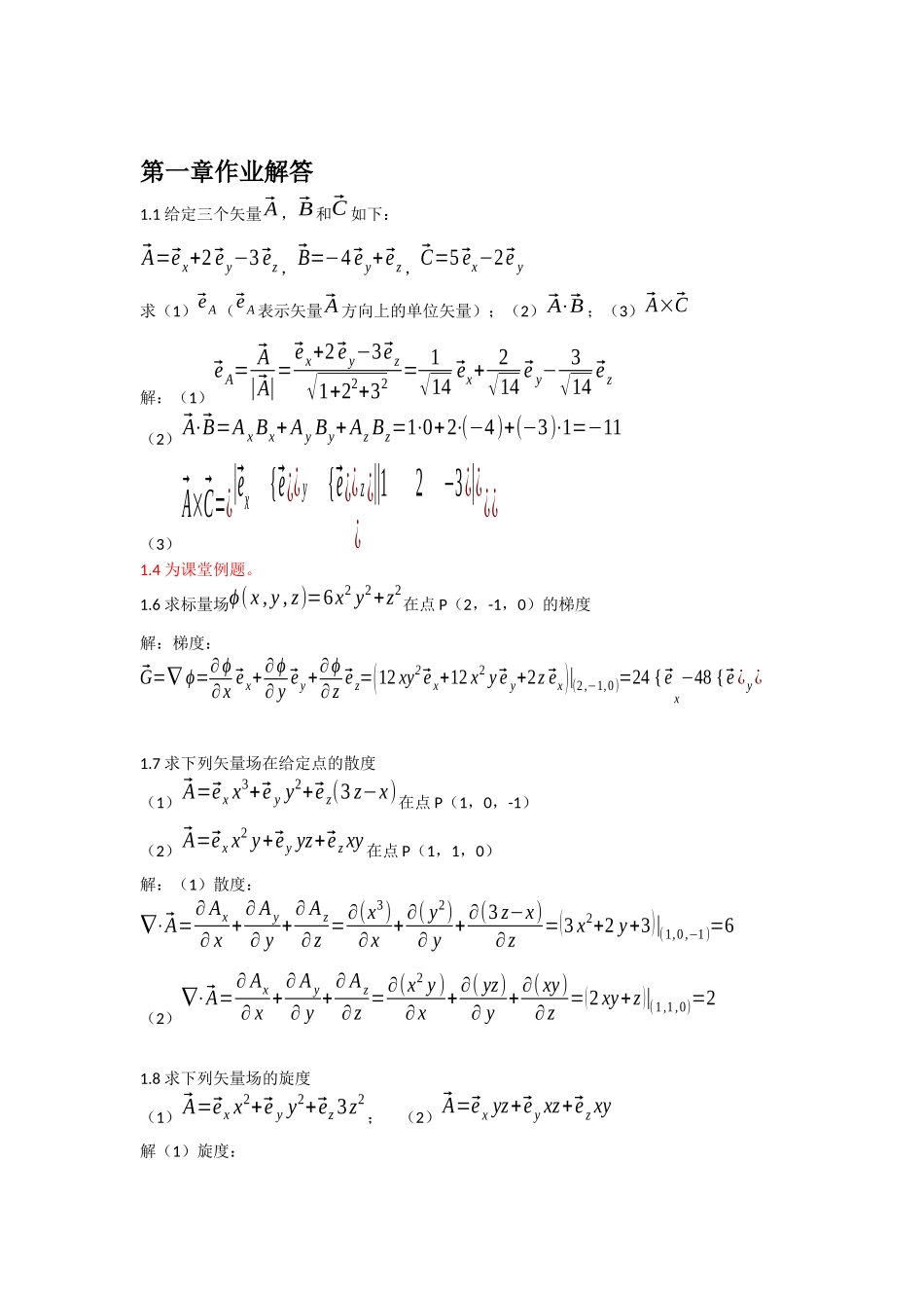
第一章作业解答1.1给定三个矢量⃗A,⃗B和⃗C如下:⃗A=⃗ex+2⃗ey−3⃗ez,⃗B=−4⃗ey+⃗ez,⃗C=5⃗ex−2⃗ey求(1)⃗eA(⃗eA表示矢量⃗A方向上的单位矢量);(2)⃗A⋅⃗B;(3)⃗A×⃗C解:(1)⃗eA=⃗A|⃗A|=⃗ex+2⃗ey−3⃗ez√1+22+32=1√14⃗ex+2√14⃗ey−3√14⃗ez(2)⃗A⋅⃗B=AxBx+AyBy+AzBz=1⋅0+2⋅(−4)+(−3)⋅1=−11(3)⃗A×⃗C=¿|⃗ex{⃗e¿¿y{⃗e¿¿z¿||12−3¿|¿¿¿¿1.4为课堂例题。1.6求标量场ϕ(x,y,z)=6x2y2+z2在点P(2,-1,0)的梯度解:梯度:⃗G=∇ϕ=∂ϕ∂x⃗ex+∂ϕ∂y⃗ey+∂ϕ∂z⃗ez=(12xy2⃗ex+12x2y⃗ey+2z⃗ex)|(2,−1,0)=24{⃗ex−48{⃗e¿y¿1.7求下列矢量场在给定点的散度(1)⃗A=⃗exx3+⃗eyy2+⃗ez(3z−x)在点P(1,0,-1)(2)⃗A=⃗exx2y+⃗eyyz+⃗ezxy在点P(1,1,0)解:(1)散度:∇⋅⃗A=∂Ax∂x+∂Ay∂y+∂Az∂z=∂(x3)∂x+∂(y2)∂y+∂(3z−x)∂z=(3x2+2y+3)|(1,0,−1)=6(2)∇⋅⃗A=∂Ax∂x+∂Ay∂y+∂Az∂z=∂(x2y)∂x+∂(yz)∂y+∂(xy)∂z=(2xy+z)|(1,1,0)=21.8求下列矢量场的旋度(1)⃗A=⃗exx2+⃗eyy2+⃗ez3z2;(2)⃗A=⃗exyz+⃗eyxz+⃗ezxy解(1)旋度:∇×⃗A=¿|⃗ex{⃗e¿¿y{⃗e¿¿z¿||∂∂x∂∂y∂∂z¿|¿¿¿¿¿¿(2)∇×⃗A=¿|⃗ex{⃗e¿¿y{⃗e¿¿z¿||∂∂x∂∂y∂∂z¿|¿¿¿¿¿¿第二章习题答案高斯定理求解带电球面,带电球体,带电圆柱体及无限大均匀带电平面电荷分布,详见大学物理课本(安徽教育出版社上册P130-133)。2.3设真空中的一对平行导线之间距离为d,两导线上电流分布为I1和I2,试计算长为L的两导线之间的作用力。(详见大学物理平行载流导线间的作用力安徽教育出版社上册p191)4.6证明电矢量轨迹方程是椭圆方程第五章习题解答第六章习题解答6.1解:(1)波函数的归一化条件为∫−∞∞|ψ(x)|2dx=1注意要先对波函数取绝对值即|ψ(x)|=|C1+ix|=C√1+x2因此C2∫−∞∞11+x2dx=C2arctanx|−∞∞=C2[π2−(−π2)]=C2π=1,所以C=√1π波函数的表达式为ψ(x)=√1π1+ix(2)粒子坐标的几率分布函数为波函数与其共轭复数的乘积,也就是波函数去绝对值后平方。所以几率密度为w(x)=|ψ(x)|2=1π(1+x2)(3)根据极大值条件,令dw(x)dx=0,则有1π−2x(1+x2)2=0(要会求导)所以在x=0处找到粒子的几率最大,最大几率为1/π。6.3解:(1)几率密度为w(x)=|ψ(x)|2=2asin2nπxa,先积分再另n=1(基态)和n=2。找到粒子的概率:2a∫0a3sin2nπxadx=2a∫0a31−cos2nπxa2dx=1a[x−a2nπsin2nπxa]|0a/3基态n=1则概率为P1=1a[x−a2πsin2πxa]|0a/3=1a[a3−a2πsin2π3]=13−√34πn=2则概率为P2=1a[x−a4πsin4πxa]|0a/3=1a[a3−a4πsin4π3]=13+√38π(2)几率密度最大令dw(x)dx=0则4nπa2sinnπxacosnπxa=0,则最大值位置为x=(2k+1)a2n,k=0,1,2,⋯,n−1,0≤x≤a(参见P104例6-3)n=1则最大值位置为x=a2,几率密度最大值为w(x)=2asin2πxa=2an=2则最大值位置为x=a4,3a4,几率密度最大值为w(x)=2asin22πxa=2a和P104的图6.3-2(b)的结果完全吻合。虽然运算略繁琐,但仔细计算并结合图还是很容易得到正确结果的。6.9解:(1)氢原子的能量En=−13.6eVn2=−13.6eV4=−3.4eV,也可以用P110的公式,但结果是一样的。(2)电子的转动角动量的大小L=√l(l+1)ℏ=√2ℏ(3)电子的转动角动量的z分量Lz=mlℏ=−ℏ6.12解:最多可能的电子数为2n2=8个。要依次写出每个电子的四个量子数主量子数n轨道量子数l磁量子数ml自旋量子数ms2001/2200-1/22101/2210-1/22111/2211-1/221-11/221-1-1/2

1、当您付费下载文档后,您只拥有了使用权限,并不意味着购买了版权,文档只能用于自身使用,不得用于其他商业用途(如 [转卖]进行直接盈利或[编辑后售卖]进行间接盈利)。
2、本站所有内容均由合作方或网友上传,本站不对文档的完整性、权威性及其观点立场正确性做任何保证或承诺!文档内容仅供研究参考,付费前请自行鉴别。
3、如文档内容存在违规,或者侵犯商业秘密、侵犯著作权等,请点击“违规举报”。

碎片内容

光电信息物理基础课后答案已整理

您可能关注的文档

确认删除?
VIP
微信客服
  • 扫码咨询
会员Q群
  • 会员专属群点击这里加入QQ群
客服邮箱
回到顶部