电脑桌面
添加小米粒文库到电脑桌面
安装后可以在桌面快捷访问

北京市朝阳区高三上学期期中考试数学理答案 北京市朝阳区届高三数学上学期期中试题 理(PDF) 北京市朝阳区届高三数学上学期期中试题 理(PDF)VIP免费

北京市朝阳区高三上学期期中考试数学理答案 北京市朝阳区届高三数学上学期期中试题 理(PDF) 北京市朝阳区届高三数学上学期期中试题 理(PDF)_第1页
1/7
北京市朝阳区高三上学期期中考试数学理答案 北京市朝阳区届高三数学上学期期中试题 理(PDF) 北京市朝阳区届高三数学上学期期中试题 理(PDF)_第2页
2/7
北京市朝阳区高三上学期期中考试数学理答案 北京市朝阳区届高三数学上学期期中试题 理(PDF) 北京市朝阳区届高三数学上学期期中试题 理(PDF)_第3页
3/7
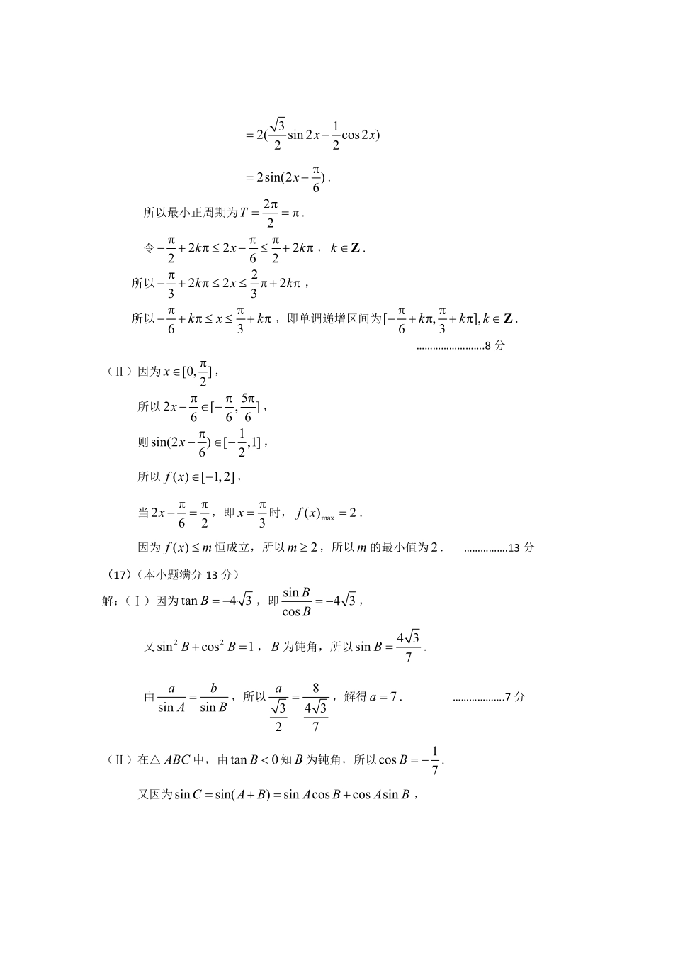
北京市朝阳区2018-2019学年度第一学期高三年级期中统一检测数学试卷(理工类)答案2018.11一、选择题:题号(1)(2)(3)(4)(5)(6)(7)(8)答案BCADABCA二、填空题:题号(9)(10)(11)(12)(13)(14)答案453432yx(或3yx等)123sin86yt31,2,2,4;1,3,3,9;2,4,4,8;4,6,6,9.三、解答题:(15)(本小题满分13分)解:(Ⅰ)设{}na的首项为1a,公比为(0)qq,则依题意13211318aqaqaq,,解得11,3aq.所以{}na的通项公式为13nna,*nN.…………………….7分(Ⅱ)因为13log3(1)nnnnbaan,所以123nbbbb21(1333)[012(1)]nn13(1)132nnn31(1).22nnn……………….13分(16)(本小题满分13分)解:(Ⅰ)由已知可得()3sin2cos2fxxx312(sin2cos2)22xx2sin(2)6x.所以最小正周期为22T.令222262kxk,kZ.所以222233kxk,所以63kxk,即单调递增区间为[,],63kkkZ.…………………….8分(Ⅱ)因为[0,]2x,所以52[,]666x,则1sin(2)[,1]62x,所以()[1,2]fx,当262x,即3x时,max()2fx.因为()fxm恒成立,所以2m,所以m的最小值为2.…………….13分(17)(本小题满分13分)解:(Ⅰ)因为tan43B,即sin43cosBB,又22sincos1BB,B为钝角,所以43sin7B.由sinsinabAB,所以834327a,解得7a.……………….7分(Ⅱ)在△ABC中,由tan0B知B为钝角,所以1cos7B.又因为sinsin()sincoscossinCABABAB,所以3114333sin272714C.所以1133sin78632214ABCSabC.…………………….13分(18)(本小题满分13分)解:(Ⅰ)2()666(1)fxmxxxmx,当1m时,()6(1)fxxx,当x在[1,2]内变化时,(),()fxfx的变化如下表:当[1,2]x时,max()5fx;min()4fx.…………………….5分(Ⅱ)若1m,1()6()fxmxxm.当x变化时,(),()fxfx的变化如下表:x(,0)01(0,)m1m1(,)m()fx00()fx↗极大值↘极小值↗3221111()2311fmmmmm,因为1,m所以2101m.即1()0fm.且22()(23)10fmmm,所以()fx有唯一零点.x1(1,0)0(0,1)1(1,2)2()fx00()fx4↗极大值1↘极小值0↗5所以“1m”是“()fx有唯一零点”的充分条件.又2m时,当x变化时,(),()fxfx的变化如下表:x1(,)2121(,0)20(0,)()fx00()fx↘极小值↗极大值↘又113()10224f,(0)0f,(3)0f.所以此时()fx也有唯一零点.从而“1m”是“()fx有唯一零点”的充分不必要条件.…………………….13分(19)(本小题满分14分)解:函数()fx的定义域为(0,),且21()(2)ln()fxxaxxaxxax(2)lnxax.(Ⅰ)易知1(1)2fa,(1)0f,所以曲线()yfx在点(1,(1))f处的切线方程为1()0(1)2yax.即12ya.……………….3分(Ⅱ)令()(2)ln0fxxax得1,2axx①当02a时,12a.当x变化时,(),()fxfx变化情况如下表:x(0,)2a2a(,1)2a1(1,)()fx+0-0+()fx↗极大值↘极小值↗所以函数()fx在(0,)2a和(1,)上单调递增,在(,1)2a上单调递减.②当2a时,()2(1)ln0fxxx恒成立.所以函数()fx在(0,)上单调递增.③当2a时,12a.当x变化时,(),()fxfx变化情况如下表:x(0,1)1(1,)2a2a(,)2a()fx+0-0+()fx↗极大值↘极小值↗所以函数()fx在(0,1)和(,)2a上单调递增,在(1,)2a上单调递减.…….9分(Ⅲ)由(Ⅱ)可知,要使1x是函数()fx的极大值点,需满足2a.此时,函数()fx的极小值为()ga223()ln2428aaafa.所以1()(ln1)22agaa.令1()(ln1)022agaa得2ea.当a变化时,g(),()aga变化情况如下表:a(2,2e)2e(2e,)g()a+0-()ga↗极大值↘所以函数()ga的最大值为2e(2e)2g.……………….14分(20)(本小题满分14分)(Ⅰ)...

1、当您付费下载文档后,您只拥有了使用权限,并不意味着购买了版权,文档只能用于自身使用,不得用于其他商业用途(如 [转卖]进行直接盈利或[编辑后售卖]进行间接盈利)。
2、本站所有内容均由合作方或网友上传,本站不对文档的完整性、权威性及其观点立场正确性做任何保证或承诺!文档内容仅供研究参考,付费前请自行鉴别。
3、如文档内容存在违规,或者侵犯商业秘密、侵犯著作权等,请点击“违规举报”。

碎片内容

北京市朝阳区高三上学期期中考试数学理答案 北京市朝阳区届高三数学上学期期中试题 理(PDF) 北京市朝阳区届高三数学上学期期中试题 理(PDF)

您可能关注的文档

确认删除?
VIP
微信客服
  • 扫码咨询
会员Q群
  • 会员专属群点击这里加入QQ群
客服邮箱
回到顶部