电脑桌面
添加小米粒文库到电脑桌面
安装后可以在桌面快捷访问

九年级数学解一元二次方程专项练习题带答案【40道】VIP免费

九年级数学解一元二次方程专项练习题带答案【40道】_第1页
1/6
九年级数学解一元二次方程专项练习题带答案【40道】_第2页
2/6
九年级数学解一元二次方程专项练习题带答案【40道】_第3页
3/6
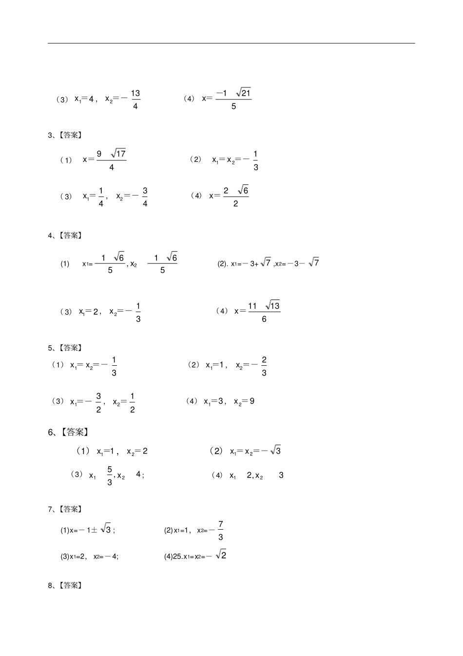
解一元二次方程专项练习题(带答案)1、用配方法解下列方程:(1)025122=++xx(2)1042=+xx(3)1162=-xx(4)0422=--xx2、用配方法解下列方程:(1)01762=+-xx(2)xx91852=-(3)52342=-xx(4)xx2452-=3、用公式法解下列方程:(1)08922=+-xx(2)01692=++xx(3)38162=+xx(4)01422=--xx4、运用公式法解下列方程:(1)01252=-+xx(2)7962=++xx(3)2325xx=+(4)1)53)(2(=--xx5、用分解因式法解下列方程:(1)01692=++xx(2)xxx22)1(3-=-(3))32(4)32(2+=+xx(4)9)3(222-=-xx6、用适当方法解下列方程:(1)22(3)5xx(2)22330xx(3)2)2)(113(xx;(4)4)2)(1(13)1(xxxx7、解下列关于x的方程:(1)x2+2x-2=0(2)3x2+4x-7=(3)(x+3)(x-1)=5(4)(x-2)2+42x=08、解下列方程(12分)(1)用开平方法解方程:4)1(2x(2)用配方法解方程:x2—4x+1=0(3)用公式法解方程:3x2+5(2x+1)=0(4)用因式分解法解方程:3(x-5)2=2(5-x)9、用适当方法解下列方程:(1)0)14(=-xx(2)027122=++xx(3)562+=xx(4)45)45(+=+xxx(5)xx314542=-(6)0242232=-+-xx(7)12)1)(8(=-++xx(8)14)3)(23(+=++xxx解一元二次方程专项练习题答案1、【答案】(1)116-;(2)142-;(3)523;(4)512、【答案】(1)11=x,612=x(2)31=x,562=-x(3)41=x,4132=-x(4)5211-=x3、【答案】(1)4179=x(2)3121=-=xx(3)411=x,432=-x(4)262=x4、【答案】(1)x1=561,5612x(2).x1=-3+7,x2=-3-7(3)21=x,312=-x(4)61311=x5、【答案】(1)3121=-=xx(2)11=x,322=-x(3)231=-x,212=x(4)31=x,92=x6、【答案】(1)11=x,22=x(2)321=-=xx(3)4,3521xx;(4)3,221xx7、【答案】(1)x=-1±3;(2)x1=1,x2=-37(3)x1=2,x2=-4;(4)25.x1=x2=-28、【答案】解:(1)1,321xx(2)32,3221xx(3)3105,310521xx(4)313,521xx。9、【答案】(1)01=x,142=x(2)31=-x,92=-x(3)71=-x,82=x(4)11=x,542=-x(5)91=x,452=-x(6)61=x,342=x(7)41=-x,52=-x(8)41=-x,322=x解一元二次方程专项练习题答案1、【答案】(1)116-;(2)142-;(3)523;(4)512、【答案】(1)11=x,612=x(2)31=x,562=-x(3)41=x,4132=-x(4)5211-=x3、【答案】(1)4179=x(2)3121=-=xx(3)411=x,432=-x(4)262=x4、【答案】(1)x1=561,5612x(2).x1=-3+7,x2=-3-7(3)21=x,312=-x(4)61311=x5、【答案】(1)3121=-=xx(2)11=x,322=-x(3)231=-x,212=x(4)31=x,92=x6、【答案】(1)11=x,22=x(2)321=-=xx(3)4,3521xx;(4)3,221xx7、【答案】(1)x=-1±3;(2)x1=1,x2=-37(3)x1=2,x2=-4;(4)25.x1=x2=-28、【答案】解:(1)1,321xx(2)32,3221xx(3)3105,310521xx(4)313,521xx。9、【答案】(1)01=x,142=x(2)31=-x,92=-x(3)71=-x,82=x(4)11=x,542=-x(5)91=x,452=-x(6)61=x,342=x(7)41=-x,52=-x(8)41=-x,322=x

1、当您付费下载文档后,您只拥有了使用权限,并不意味着购买了版权,文档只能用于自身使用,不得用于其他商业用途(如 [转卖]进行直接盈利或[编辑后售卖]进行间接盈利)。
2、本站所有内容均由合作方或网友上传,本站不对文档的完整性、权威性及其观点立场正确性做任何保证或承诺!文档内容仅供研究参考,付费前请自行鉴别。
3、如文档内容存在违规,或者侵犯商业秘密、侵犯著作权等,请点击“违规举报”。

碎片内容

九年级数学解一元二次方程专项练习题带答案【40道】

您可能关注的文档

确认删除?
VIP
微信客服
  • 扫码咨询
会员Q群
  • 会员专属群点击这里加入QQ群
客服邮箱
回到顶部