电脑桌面
添加小米粒文库到电脑桌面
安装后可以在桌面快捷访问

九年级数学上学期寒假作业2 新人教版试卷VIP免费

九年级数学上学期寒假作业2 新人教版试卷_第1页
1/3
九年级数学上学期寒假作业2 新人教版试卷_第2页
2/3
九年级数学上学期寒假作业2 新人教版试卷_第3页
3/3
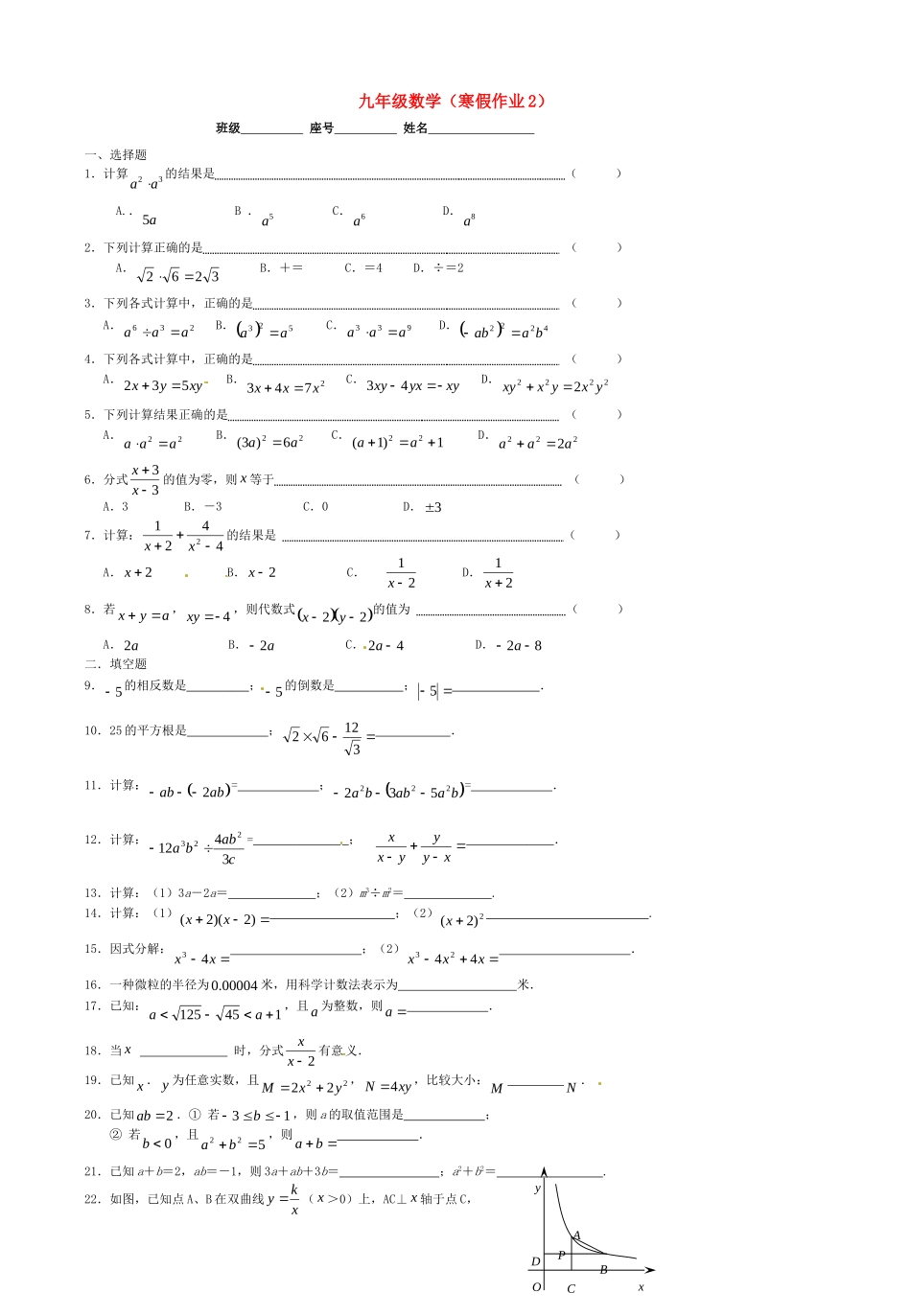
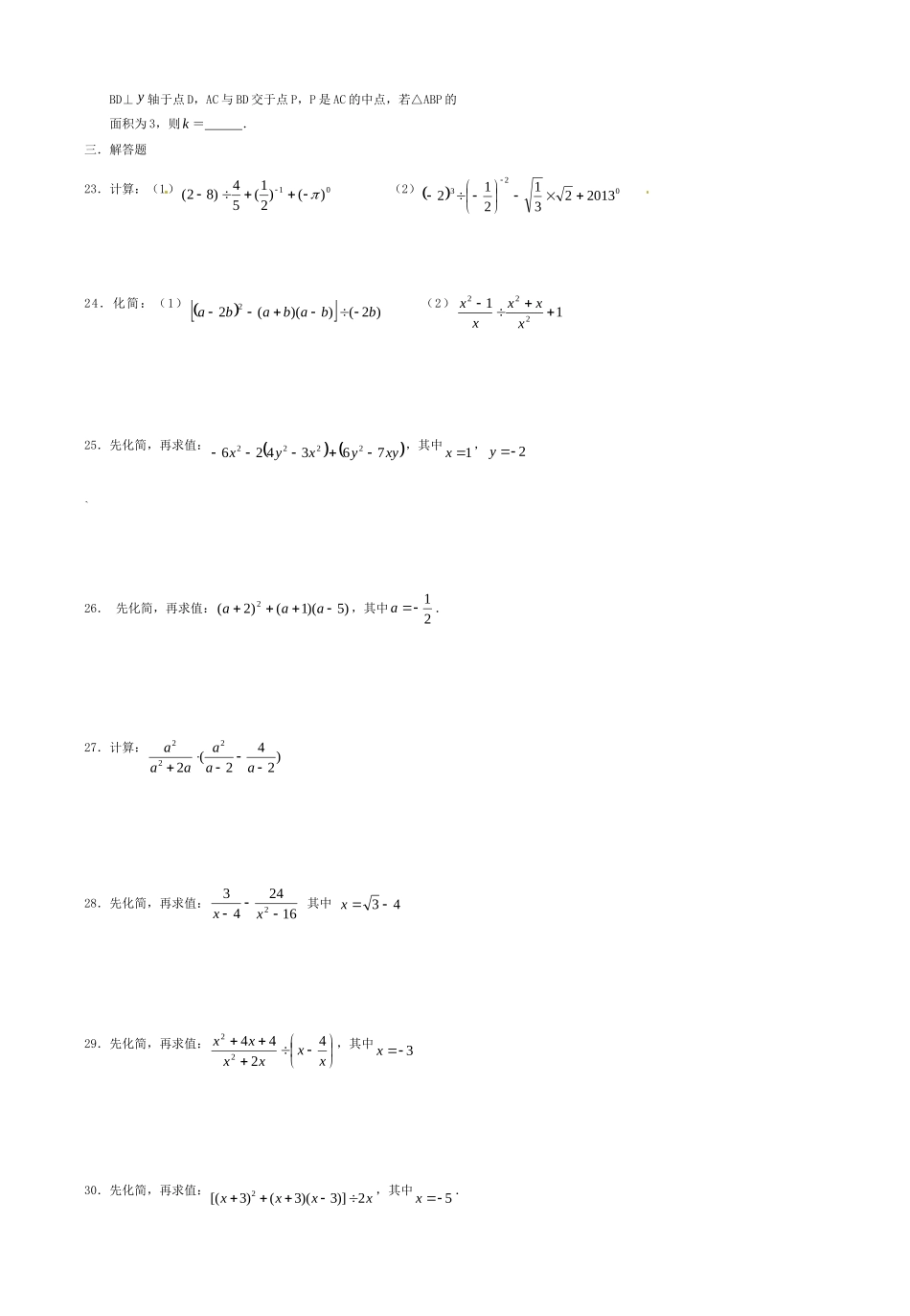
yxOABPCD九年级数学(寒假作业2)班级座号姓名一、选择题1.计算23aa的结果是()A..5aB.5aC.6aD.8a2.下列计算正确的是()A.3262B.+=C.=4D.÷=23.下列各式计算中,正确的是()A.236aaaB.523aaC.933aaaD.4222baab4.下列各式计算中,正确的是()A.xyyx532B.2743xxxC.xyyxxy43D.22222yxyxxy5.下列计算结果正确的是()A.22aaaB.226)3(aaC.1)1(22aaD.2222aaa6.分式33xx的值为零,则x等于()A.3B.-3C.0D.37.计算:44212xx的结果是()A.2xB.2xC.21xD.21x8.若ayx,4xy,则代数式22yx的值为()A.a2B.a2C.42aD.82a二.填空题9.5的相反数是;5的倒数是;5.10.25的平方根是;31262.11.计算:abab2=;baabba222532=.12.计算:cabba3412223=;xyyyxx.13.计算:(1)3a-2a=;(2)m3÷m2=.14.计算:(1))2)(2(xx;(2)2)2(x.15.因式分解:xx43;(2)xxx4423.16.一种微粒的半径为00004.0米,用科学计数法表示为米.17.已知:145125aa,且a为整数,则a.18.当x时,分式2xx有意义.19.已知x.y为任意实数,且2222yxM,xyN4,比较大小:MN.20.已知2ab.①若13b,则a的取值范围是;②若0b,且522ba,则ba.21.已知a+b=2,ab=-1,则3a+ab+3b=;a2+b2=.22.如图,已知点A、B在双曲线xky(x>0)上,AC⊥x轴于点C,BD⊥y轴于点D,AC与BD交于点P,P是AC的中点,若△ABP的面积为3,则k=.三.解答题23.计算:(1)01)()21(54)82((2)023201323121224.化简:(1))2())((22bbababa(2)11222xxxxx25.先化简,再求值:xyyxyx7634262222,其中1x,2y`26.先化简,再求值:)5)(1()2(2aaa,其中21a.27.计算:)242(2222aaaaaa28.先化简,再求值:1624432xx其中43x29.先化简,再求值:xxxxxx424422,其中3x30.先化简,再求值:2[(3)(3)(3)]2xxxx,其中5x.31.计算:xxyyyxyx2)6()2)(2(32.若32a,求4)3()2)(2(2aaaa的值.33.已知:2ba,abba)2)(1(.(1)求a的取值范围.(2)若38222bbaaba,求ba的值.34.已知南湖市某种生活必需品的年需求量y1(万件)、供应量y2(万件)与价格x(元/件)在一定范围内分别近似满足下列函数关系式:y1=–4x+190,y2=5x–170.当y1=y2时,称该商品的价格为稳定价格,需求量为稳定需求量;当y1<y2时,称该商品的供求关系为供过于求;当y1>y2时,称该商品的供求关系为供不应求.(1)求该商品的稳定价格和稳定需求量;(2)当价格为45(元/件)时,该商品的供求关系如何?为什么?

1、当您付费下载文档后,您只拥有了使用权限,并不意味着购买了版权,文档只能用于自身使用,不得用于其他商业用途(如 [转卖]进行直接盈利或[编辑后售卖]进行间接盈利)。
2、本站所有内容均由合作方或网友上传,本站不对文档的完整性、权威性及其观点立场正确性做任何保证或承诺!文档内容仅供研究参考,付费前请自行鉴别。
3、如文档内容存在违规,或者侵犯商业秘密、侵犯著作权等,请点击“违规举报”。

碎片内容

九年级数学上学期寒假作业2 新人教版试卷

您可能关注的文档

确认删除?
VIP
微信客服
  • 扫码咨询
会员Q群
  • 会员专属群点击这里加入QQ群
客服邮箱
回到顶部