电脑桌面
添加小米粒文库到电脑桌面
安装后可以在桌面快捷访问

吉林省长春市双阳区八年级数学上册 第12章 整式的乘除验收试卷(新版)华东师大版试卷VIP免费

吉林省长春市双阳区八年级数学上册 第12章 整式的乘除验收试卷(新版)华东师大版试卷_第1页
1/3
吉林省长春市双阳区八年级数学上册 第12章 整式的乘除验收试卷(新版)华东师大版试卷_第2页
2/3
吉林省长春市双阳区八年级数学上册 第12章 整式的乘除验收试卷(新版)华东师大版试卷_第3页
3/3
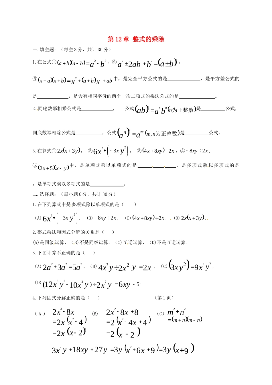
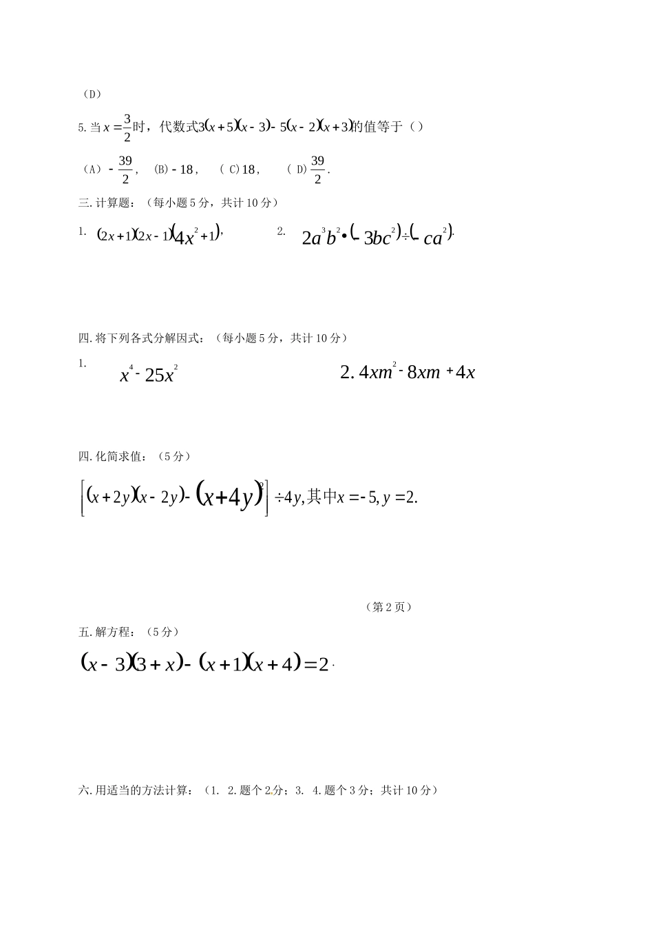
第12章整式的乘除一.填空题:(每空3分,共计30分)1.在公式①bababa22,②bababa2222,③abbabxaxxx2中,是完全平方公式的是,是平方差公式的是,是含有相同字母的两个一次二项式的乘法公式的是。2.同底数幂相乘公式是,公式为正整数nbaabnnn是公式,同底数幂相除公式是,公式为正整数nmnaamnm,是公式。3.在算式①yxx32,②yxx2236,③xxyx284,④xxy28,⑤yxx52中,是单项式乘以单项式的是,是多项式乘以多项式的是,是单项式乘以多项式的是。二.选择题:(每小题6分,共计30分)1.在下列算式中是多项式除以单项式的是()(A)yxx2236,(B)xxy28,(C)xxyx284,(D)yxx32.2.整式乘法和因式分解的关系是()(A)是同级运算,(B)不是同级运算,(C)互逆运算,(D)不是互逆运算.3.下面计算不正确的是()(A)aaa532222,(B)xyxyx22423,(C)yxyx533932,(D)5)621012(2223xyyxyxyx.4.下列因式分解正确的是()(第1页)(A)(B)(C)nmnmnm22224282223xxxxxx22442882222xxxxx9396327183222xyxxyyxyyx(D)5.当的值等于()时,代数式32535323xxxxx(A)239,(B)18,(C)18,(D)239.三.计算题:(每小题5分,共计10分)1.1121242xxx,2.cabcba222332.四.将下列各式分解因式:(每小题5分,共计10分)1.四.化简求值:(5分).2,5,42242yxyyxyxyx其中(第2页)五.解方程:(5分)24133xxxx.六.用适当的方法计算:(1.2.题个2分;3.4.题个3分;共计10分)xx2524xxmxm484.221.,2.992,3.4.2222168421111111121121.49750344.14.22.102.102

1、当您付费下载文档后,您只拥有了使用权限,并不意味着购买了版权,文档只能用于自身使用,不得用于其他商业用途(如 [转卖]进行直接盈利或[编辑后售卖]进行间接盈利)。
2、本站所有内容均由合作方或网友上传,本站不对文档的完整性、权威性及其观点立场正确性做任何保证或承诺!文档内容仅供研究参考,付费前请自行鉴别。
3、如文档内容存在违规,或者侵犯商业秘密、侵犯著作权等,请点击“违规举报”。

碎片内容

吉林省长春市双阳区八年级数学上册 第12章 整式的乘除验收试卷(新版)华东师大版试卷

您可能关注的文档

星河书苑+ 关注
实名认证
内容提供者

从事历史教学,热爱教育,高度负责。

确认删除?
VIP
微信客服
  • 扫码咨询
会员Q群
  • 会员专属群点击这里加入QQ群
客服邮箱
回到顶部