电脑桌面
添加小米粒文库到电脑桌面
安装后可以在桌面快捷访问

管件采购合同VIP免费

管件采购合同_第1页
1/4
管件采购合同_第2页
2/4
管件采购合同_第3页
3/4
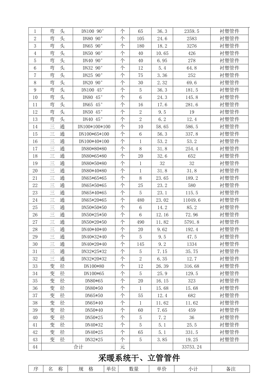
镀锌管件、衬塑管件产品购销合同供方:山西隆盛北亿商贸有限公司合同编号:需方:中泽建工集团有限责任公司签订地点:一、标的∕商标∕型号∕数量∕金额:见附表产品名称规格单位数量单价(元)金额(元)见附表合计大写:(注:依实际送货数量据实结算)二、质量要求、技术标准、供方对质量负责的条件和期限:管件符合GB/T3287-2000《可锻铸铁管路连接件》的要求。三、交(提)货地点:中泽苑施工现场。四、运输方式及到达站港和费用负担:装车运输及费用由供方承担,卸车及费用由需方承担。五、标的物所有权自付款时转移,但需方未履行支付价款义务的标的物属于供方所有;六、验收标准:货到工地由需方材料部门和技术部门共同验收合格后方可卸车。七、结算方式及期限:货到现场经验收合格,供方出具发票后付总价的95%,余5%的质保金在安装完毕后经验收合格后,一月内付清余款。八、供货时间:收到供方通知后3日内到货;九、违约责任:因产品质量引起的一切责任由供方承担。十、解决合同纠纷的方式:需方所在地人民法院诉讼;十一、其它约定事项:1、供方必须保证所供材料为合格正品,与提供的样品为同一质量等级。2、材料招标文件的要求与本合同具有同等效力。3、对于验收不合格和安装过程中发现乙方使用不合格产品,供方无条件免费于3日内更换完毕,否则应承担给需方造成的损失。供方:需方:供方代表:需方代表:开户行:开户行:帐号:帐号:传真:传真:签定日期:20年月日签定日期:20年月日给水系统干、立管管件序号名称规格单位数量单价小计备注1弯头DN10090°个6536.32359.5衬塑管件2弯头DN8090°个10524.62583衬塑管件3弯头DN6590°个18018.23276衬塑管件4弯头DN5090°个4010.65426衬塑管件5弯头DN4090°个406.95278衬塑管件6弯头DN3290°个125.464.8衬塑管件7弯头DN2590°个753.36252衬塑管件8弯头DN2090°个302.3269.6衬塑管件9弯头DN10045°个536.3181.5衬塑管件10弯头DN8045°个624.3145.8衬塑管件11弯头DN6545°个1617.6281.6衬塑管件12弯头DN5045°个29.519衬塑管件13弯头DN4045°个26.212.4衬塑管件14三通DN100*100*100个1058.65586.5衬塑管件15三通DN100*65*100个656.3337.8衬塑管件16三通DN100*40*100个153.253.2衬塑管件17三通DN80*80*80个831.8254.4衬塑管件18三通DN80*65*80个2032.6652衬塑管件19三通DN80*50*80个13232衬塑管件20三通DN80*40*80个131.831.8衬塑管件21三通DN65*65*65个823.65189.2衬塑管件22三通DN65*50*65个2523.2580衬塑管件23三通DN65*40*65个523.1115.5衬塑管件24三通DN65*20*65个48023.0211049.6衬塑管件25三通DN50*50*50个614.285.2衬塑管件26三通DN50*25*50个612.1672.96衬塑管件27三通DN50*20*50个49011.825791.8衬塑管件28三通DN40*40*40个209.62192.4衬塑管件29三通DN40*32*40个59.547.5衬塑管件30三通DN40*20*40个1459.21334衬塑管件31三通DN32*25*32个57.1535.75衬塑管件32三通DN32*20*32个26.3512.7衬塑管件33变径DN100*80个1226.39316.68衬塑管件34变径DN100*65个525.9129.5衬塑管件35变径DN80*65个2016.15323衬塑管件36变径DN80*50个115.6815.68衬塑管件37变径DN65*50个5512.4682衬塑管件38变径DN65*40个111.6211.62衬塑管件39变径DN50*40个607.65459衬塑管件40变径DN50*25个57.236衬塑管件41变径DN40*32个55.125.5衬塑管件42变径DN40*25个655.1331.5衬塑管件43变径DN32*25个53.8519.25衬塑管件44合计元33753.24采暖系统干、立管管件序名称规格单位数量单价小计备注号1三通DN80*40*80个20022.44480镀锌管件2三通DN65*40*65个16515.62574镀锌管件3三通DN65*25*65个513.8869.4镀锌管件4三通DN65*20*65个1013.26132.6镀锌管件5三通DN65*40*65个515.678镀锌管件6三通DN65*32*65个114.3514.35镀锌管件7三通DN65*25*65个113.8813.88镀锌管件8三通DN50*40*50个12010.021202.4镀锌管件9三通DN40*40*40个705.52386.4镀锌管件10三通DN40*32*40个15.025.02镀锌管件11三通DN40*25*40个104.9649.6镀锌管件12三通DN40*20*40个104.949镀锌管件13三通DN32*25*32个24.38.6镀锌管件14三通DN32*20*32个54.321.5镀锌管件15三通DN25*25*25个103.02...

1、当您付费下载文档后,您只拥有了使用权限,并不意味着购买了版权,文档只能用于自身使用,不得用于其他商业用途(如 [转卖]进行直接盈利或[编辑后售卖]进行间接盈利)。
2、本站所有内容均由合作方或网友上传,本站不对文档的完整性、权威性及其观点立场正确性做任何保证或承诺!文档内容仅供研究参考,付费前请自行鉴别。
3、如文档内容存在违规,或者侵犯商业秘密、侵犯著作权等,请点击“违规举报”。

碎片内容

管件采购合同

确认删除?
VIP
微信客服
  • 扫码咨询
会员Q群
  • 会员专属群点击这里加入QQ群
客服邮箱
回到顶部