电脑桌面
添加小米粒文库到电脑桌面
安装后可以在桌面快捷访问

黄自元间架结构九十二法带图解释VIP免费

黄自元间架结构九十二法带图解释_第1页
1/39
黄自元间架结构九十二法带图解释_第2页
2/39
黄自元间架结构九十二法带图解释_第3页
3/39
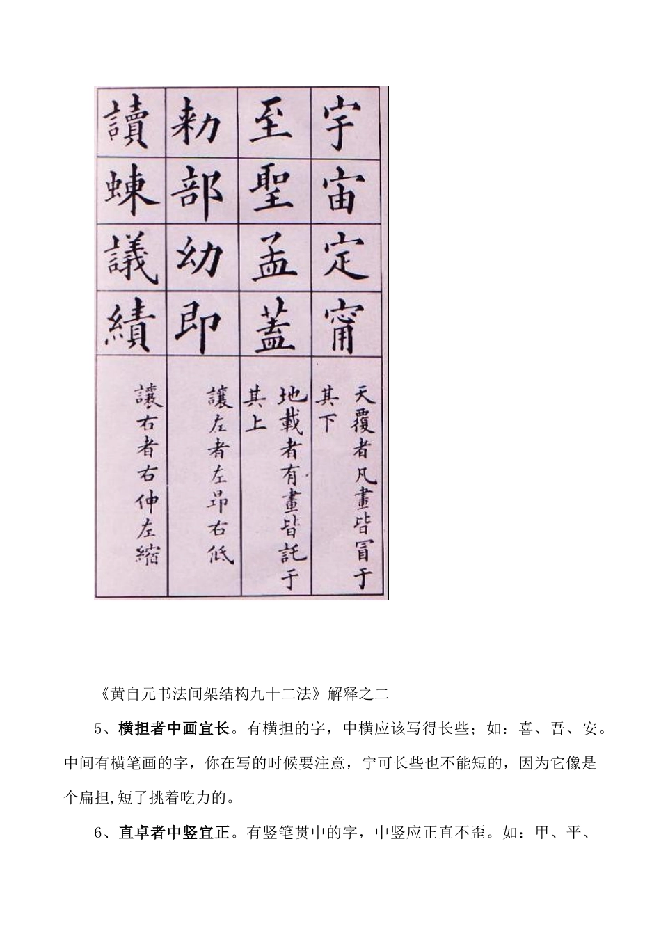
黄自元间架结构九十二法带图解释所谓书法是指写毛笔字要遵照一定的规矩、法则。黄自元的间架结构九十二法就是结字的法则!1、天覆者凡画皆冒于其下。答案:上面是宝盖的字,其余笔画应帽于其下。如:宇、宙、定。也就是说宝盖下的一切笔画不要超出宝盖哦。别让宝贝跑了哈~!~2、地载者有画皆托于其上。下面有底托状的字,其余笔画应托于其上。如:至、孟、圣。也就是说,字的底下是横画的要写长些,因为要承载上面的一切笔画嘛。你可以写得长些,但不能写短哦~!~3、让左者左昂右低。答案;以左半部为主的字,左边要高,右边要低。如:部、幼、即。你试试看是不是只有这样写出来才好看呀?4、让右者右伸左缩。以右半部为主的字,右边要长,左边要短。如:绩、议、读。看出什么意思了吧,不让失去平衡的哦~!~黄自元的间架结构九十二法暂时介绍到这里。附图:《黄自元书法间架结构九十二法》解释之二5、横担者中画宜长。有横担的字,中横应该写得长些;如:喜、吾、安。中间有横笔画的字,你在写的时候要注意,宁可长些也不能短的,因为它像是个扁担,短了挑着吃力的。6、直卓者中竖宜正。有竖笔贯中的字,中竖应正直不歪。如:甲、平、干、午。解释:中间有竖笔画的字,一定要写的正直不能写歪的。字如人的,写歪着别人看了就会笑话你的哦。字正人正是个英雄哦。7、勾拏法其身不宜曲短。勾拿笔不应弯曲、短小。如:葡、萄、蜀、葛。解释:拏的意思是“拿”。写横勾时你要注意它要像弓弩一样强劲有力,不能写的曲短无力。有结实的肩膀,就有依靠哦。8、不可直长勾衂法其势。勾衄笔不应直长。如:句、匀、勿。解释:对于横勾笔画里面的笔画少的字,写时注意转角和勾儿,不应直长的。字的笔画相依为命的,别让人家骨肉分离哦。注意勾的肩膀是像鼻子一样鼓鼓的饱满状的.附【小资料】:黄自元幼从祖父德濂习字,常悬腕书写,锻炼臂力。初仿颜体,又摩柳体、欧体。虽书法屡为更变,不能自辟蹊径,未受书林见赏,但博采众家之长,也卓然自成一家。同治帝之母病逝,黄自元被诏撰写神位,跪地悬手写来,工整匀称,受到赞赏,赐以“字圣”名号。晚年所仿《玄秘塔》、《醴泉铭》、《正气歌》等,经周墨香木刻拓印发售,作为当时蒙学习字教材,流传颇广。《黄自元间架结构九十二法》解释之三9、画短撇长。横短撇长;如:左、在、尤、龙。解释:对于像左这些字,横笔画要写的短一点,一撇要写的长些哦。你问为什么要这样呢?你看它们下面的笔画不是有横笔画,就是有甩勾儿,需要表现呢。你要写一长横一撇短试试,那龙字可是有匕首,小心扎你,哈哈哈。10、画长撇短。横长撇短;如:右、有、灰。解释:像有、灰,这样的字,就和龙之类相反了。要写的横笔画长,撇笔画短哦。明显嘛,它们需要给下面的笔画流出空间位置的哦。11、画短直长。横画短竖画长的字,撇捺应延伸。如:木、本、朱。、解释:字的笔画上有横笔画,中间有竖笔画,下有捺笔画,就要注意写的横短些。竖长点、那笔捺就要写的舒展点。别发呆,说你呢,那捺又写的不像个刀了,嘻嘻12、画长直短撇捺宜缩。横画长竖画短的字,撇捺应缩短。如:乐、集。解释:这样的字有横笔画在中间、有撇、又有捺的字。横笔画要写的长些。你说什么?你想起"横担者中画宜长"中间横着的像个扁担要挑东西的,所以要写长。你聪明哦,说的真对了。那你就记住收缩那一撇一捺哦。你说用点代替那一瞥一捺可以吗?《黄自元间架结构九十二法》解释之四13、横长直短。横长竖短。如:十、上、下、士。解释:在一个字笔画少、而且有横笔画时,要把横笔画写的长,竖笔画写点些。这样写符合中国字的方圆要求。14、横短直长。横短竖长。如:才、斗、丰、井。解释:在一个字笔画少、而且有横笔画时,要把横笔画写的短些,竖笔画的长点些。15、上下有画须上短而下长。上下有横画的字,应上短而下长。如:丕、正、亚。解释:在一个字中,上下有横笔画的,写时把上面的横壁画写的短点,下面的横笔画写的长些。啊呀,你想起那个"地载者有画皆托于其上"。对呀。那就把下面横笔画的写长些哦,别写出格子呀。16、左右有直须左收而右展。左右有竖画的字,左边应收而右边伸展。如...

1、当您付费下载文档后,您只拥有了使用权限,并不意味着购买了版权,文档只能用于自身使用,不得用于其他商业用途(如 [转卖]进行直接盈利或[编辑后售卖]进行间接盈利)。
2、本站所有内容均由合作方或网友上传,本站不对文档的完整性、权威性及其观点立场正确性做任何保证或承诺!文档内容仅供研究参考,付费前请自行鉴别。
3、如文档内容存在违规,或者侵犯商业秘密、侵犯著作权等,请点击“违规举报”。

碎片内容

黄自元间架结构九十二法带图解释

学海无涯书城+ 关注
实名认证
内容提供者

热爱教育事业,爱好互联网行业

确认删除?
VIP
微信客服
  • 扫码咨询
会员Q群
  • 会员专属群点击这里加入QQ群
客服邮箱
回到顶部