电脑桌面
添加小米粒文库到电脑桌面
安装后可以在桌面快捷访问

宁夏石嘴山市第三中学2021届高三数学上学期第一次月考试卷 理VIP免费

宁夏石嘴山市第三中学2021届高三数学上学期第一次月考试卷 理_第1页
1/11
宁夏石嘴山市第三中学2021届高三数学上学期第一次月考试卷 理_第2页
2/11
宁夏石嘴山市第三中学2021届高三数学上学期第一次月考试卷 理_第3页
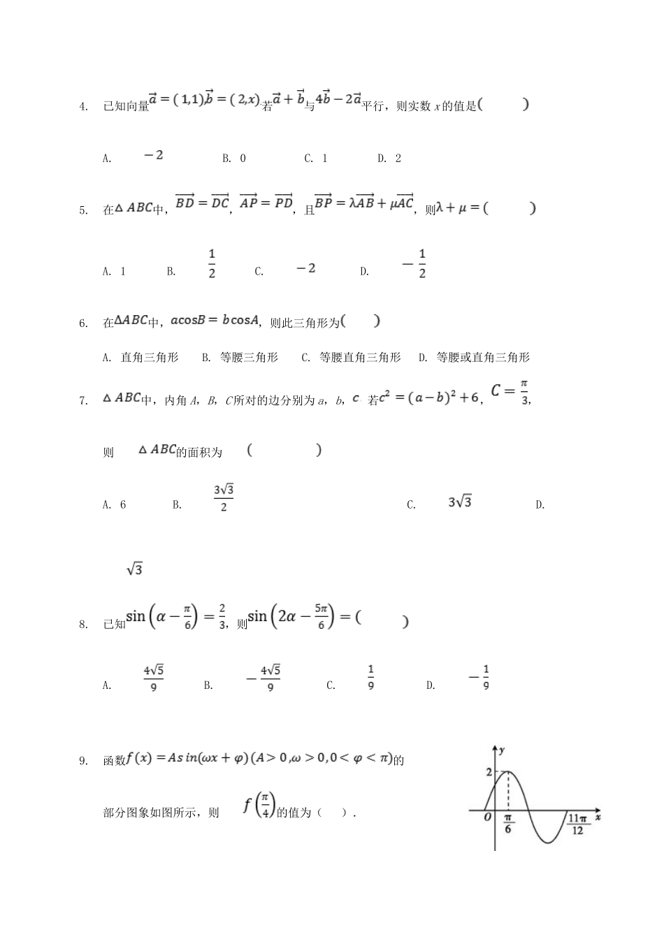
3/11
宁夏石嘴山市第三中学2021届高三数学上学期第一次月考试题理一、选择题(本大题共12小题,共60.0分)1.已知集合,则等于()A.B.C.D.2.已知命题p:对,,成立,则在上为增函数;命题q:,,则下列命题为真命题的是A.B.C.D.3.点P从点出发,沿单位圆逆时针方向运动弧长到达Q点,则Q点坐标为A.B.C.D.4.已知向量若与平行,则实数x的值是A.B.0C.1D.25.在中,,,且,则A.1B.C.D.6.在中,,则此三角形为A.直角三角形B.等腰三角形C.等腰直角三角形D.等腰或直角三角形7.中,内角A,B,C所对的边分别为a,b,若,,则的面积为A.6B.C.D.8.已知,则A.B.C.D.9.函数的部分图象如图所示,则的值为().A.2B.C.D.110.下列关于函数的说法正确的是A.在区间上单调递增B.最小正周期是C.图象关于点成中心对称D.图象关于直线成轴对称11.若函数在区间上单调递减,则的取值范围是A.B.C.D.12.已知函数满足,且当时,,函数,函数在区间上的零点的个数为A.4B.5C.6D.7二、填空题(本大题共4小题,共20.0分)13.设,则______.14.已知正项数列的前n项和为,且满足,则数列的通项公式为___________.15.由直线,曲线以及x轴所围成的图形的面积为______.16.已知向量,,且,则在上的投影是______.三、解答题(本大题共6小题,共72.0分)17.已知数列满足:,且,,成等差数列;证明:数列为等比数列,并求数列的通项公式;求数列的前n项和.18.设函数,.解不等式;若关于x的不等式在R上恒成立,求实数a的取值范围.19.如图所示,近日我渔船编队在岛A周围海域作业,在岛A的南偏西方向有一个海面观测站B,某时刻观测站发现有不明船只向我渔船编队靠近,现测得与B相距31海里的C处有一艘海警船巡航,上级指示海警船沿北偏西方向,以40海里小时的速度向岛A直线航行以保护我渔船编队,30分钟后到达D处,此时观测站测得B,D间的距离为21海里.(1)求的值;(2)试问海警船再向前航行多少分钟方可到岛A?20.己知函数求函数的最小正周期及单调增区间;若,求函数的值域.21.已知正项等比数列满足,,数列满足.求数列,的通项公式;令求数列的前n项和.22.设函数.求曲线在点处的切线方程;若函数有两个极值点,求实数a的取值范围;当时,恒成立,求实数m的取值范围.答案一.选择题DAADDBBDCCDC二.填空题13.14.15.16.17.【答案】解:数列满足:,且,,成等差数列;所以,整理得,故,所以常数,所以数列是以2为首项,2为公比的等比数列.所以,整理得.由得:,所以.18.【答案】解:由题意可得,当时,,;当时,,;当时,,.综上所述,原不等式的解集为;若关于x的不等式在R上恒成立,则,,当时,上式取得等号.,即,.19.【答案】解:Ⅰ由已知可得海里,中,根据余弦定理求得,;Ⅱ由已知可得,.中,由正弦定理可得:海里,分钟.即海警船再向前航行分钟即可到达岛A.20.【答案】解:,,令,即,单调增区间为.,则,,,所以的值域为.21.【答案】解:正项等比数列的公比为,,由,,可得,解得舍,可得,则.,,,两式相减可得,化简可得.22.【答案】解:,在点处的切线斜率,则切线方程为,有两个极值点.即有两个零点,即有两个不等实根,,令,在上,在上单调递增.在上单调递减,时,.即.可化为.设,又.在上单调递减,在上恒成立,即.又在上单调递增,在上单调递减.在处取得最大值...

1、当您付费下载文档后,您只拥有了使用权限,并不意味着购买了版权,文档只能用于自身使用,不得用于其他商业用途(如 [转卖]进行直接盈利或[编辑后售卖]进行间接盈利)。
2、本站所有内容均由合作方或网友上传,本站不对文档的完整性、权威性及其观点立场正确性做任何保证或承诺!文档内容仅供研究参考,付费前请自行鉴别。
3、如文档内容存在违规,或者侵犯商业秘密、侵犯著作权等,请点击“违规举报”。

碎片内容

宁夏石嘴山市第三中学2021届高三数学上学期第一次月考试卷 理

您可能关注的文档

确认删除?
VIP
微信客服
  • 扫码咨询
会员Q群
  • 会员专属群点击这里加入QQ群
客服邮箱
回到顶部