电脑桌面
添加小米粒文库到电脑桌面
安装后可以在桌面快捷访问

九年级数学 二次根式能力训练题 华师大版试卷VIP免费

九年级数学 二次根式能力训练题 华师大版试卷_第1页
1/13
九年级数学 二次根式能力训练题 华师大版试卷_第2页
2/13
九年级数学 二次根式能力训练题 华师大版试卷_第3页
3/13
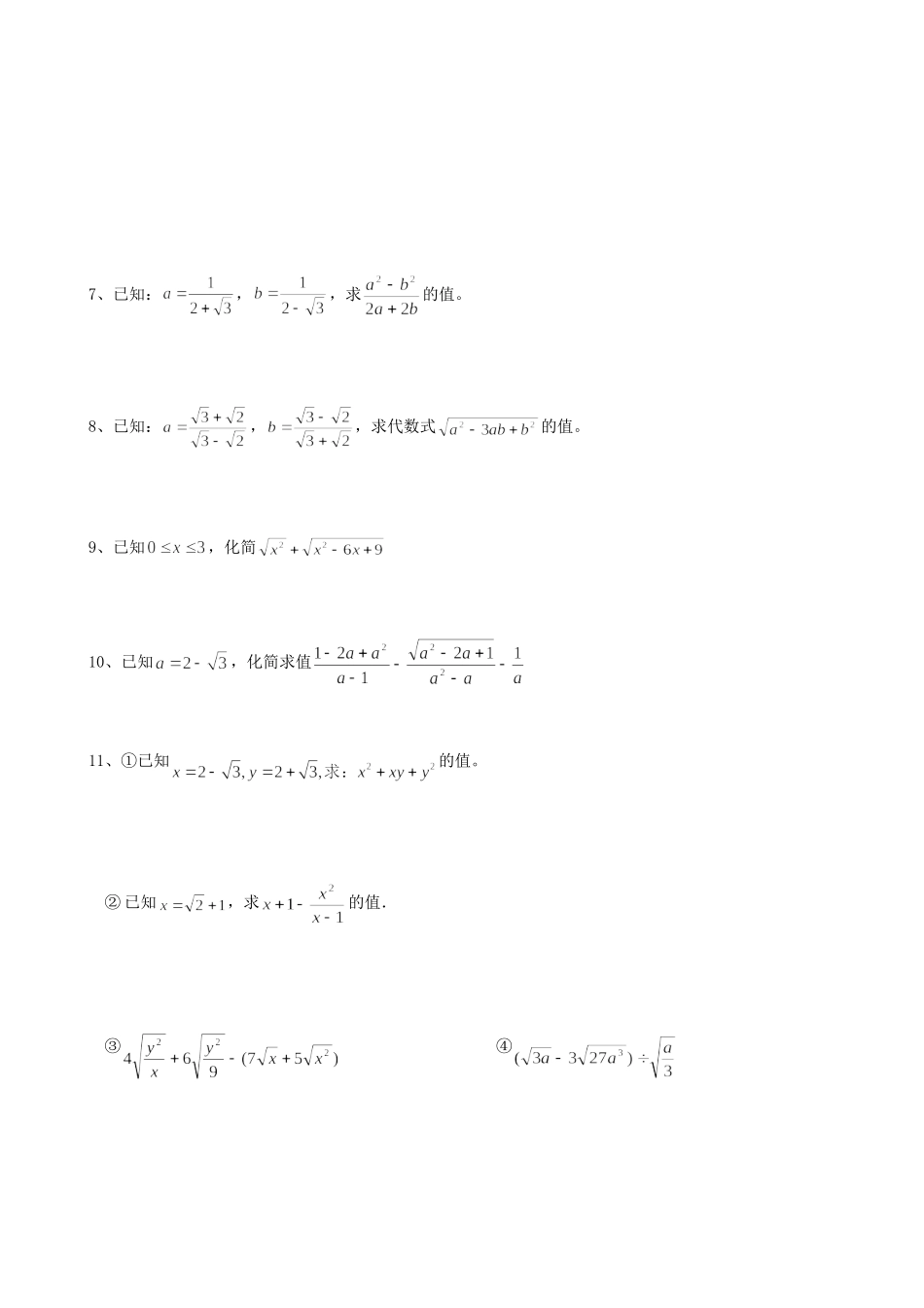
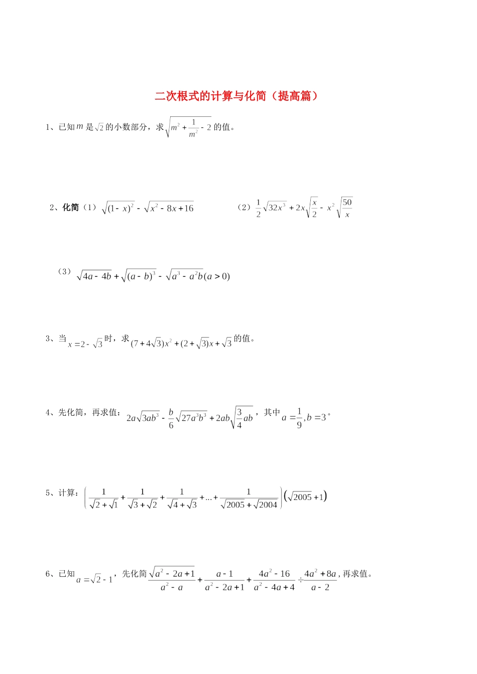
二次根式的计算与化简(提高篇)1、已知是的小数部分,求的值。2、化简(1)(2)(3)3、当时,求的值。4、先化简,再求值:,其中。5、计算:6、已知,先化简,再求值。7、已知:,,求的值。8、已知:,,求代数式的值。9、已知,化简10、已知,化简求值11、①已知的值。②已知,求的值.③④12、计算及化简:⑴.⑵.⑶.⑷.13、已知:,求的值。14、已知的值。二次根式提高测试一、判断题:(每小题1分,共5分)1.ab2)2(=-2ab.…………………()2.3-2的倒数是3+2.()3.2)1(x=2)1(x.…()4.ab、31ba3、bax2是同类二次根式.…()5.x8,31,29x都不是最简二次根式.()二、填空题:(每小题2分,共20分)6.当x__________时,式子31x有意义.7.化简-81527102÷31225a=_.8.a-12a的有理化因式是____________.9.当1<x<4时,|x-4|+122xx=________________.10.方程2(x-1)=x+1的解是____________.11.已知a、b、c为正数,d为负数,化简2222dcabdcab=______.12.比较大小:-721_________-341.13.化简:(7-52)2000·(-7-52)2001=______________.14.若1x+3y=0,则(x-1)2+(y+3)2=____________.15.x,y分别为8-11的整数部分和小数部分,则2xy-y2=____________.三、选择题:(每小题3分,共15分)16.已知233xx=-x3x,则………………()(A)x≤0(B)x≤-3(C)x≥-3(D)-3≤x≤017.若x<y<0,则222yxyx+222yxyx=………………………()(A)2x(B)2y(C)-2x(D)-2y18.若0<x<1,则4)1(2xx-4)1(2xx等于………………………()(A)x2(B)-x2(C)-2x(D)2x19.化简aa3(a<0)得………………………………………………………………()(A)a(B)-a(C)-a(D)a20.当a<0,b<0时,-a+2ab-b可变形为………………………………………()(A)2)(ba(B)-2)(ba(C)2)(ba(D)2)(ba四、在实数范围内因式分解:(每小题3分,共6分)21.9x2-5y2;22.4x4-4x2+1.五、计算题:(每小题6分,共24分)23.(235)(235);24.1145-7114-732;25.(a2mn-mabmn+mnnm)÷a2b2mn;26.(a+baabb)÷(baba+aabb-abba)(a≠b).(六)求值:(每小题7分,共14分)27.已知x=2323,y=2323,求32234232yxyxyxxyx的值.28.当x=1-2时,求2222axxaxx+222222axxxaxx+221ax的值.七、解答题:(每小题8分,共16分)29.计算(25+1)(211+321+431+…+100991).30.若x,y为实数,且y=x41+14x+21.求xyyx2-xyyx2的值.《二次根式》提高测试(一)判断题:(每小题1分,共5分)1.=-2.…………………()【提示】=|-2|=2.【答案】×.2.-2的倒数是+2.()【提示】==-(+2).【答案】×.3.=.…()【提示】=|x-1|,=x-1(x≥1).两式相等,必须x≥1.但等式左边x可取任何数.【答案】×.4.、、是同类二次根式.…()【提示】、化成最简二次根式后再判断.【答案】√.5.,,都不是最简二次根式.()是最简二次根式.【答案】×.(二)填空题:(每小题2分,共20分)6.当x__________时,式子有意义.【提示】何时有意义?x≥0.分式何时有意义?分母不等于零.【答案】x≥0且x≠9.7.化简-÷=_.【答案】-2a.【点评】注意除法法则和积的算术平方根性质的运用.8.a-的有理化因式是____________.【提示】(a-)(________)=a2-.a+.【答案】a+.9.当1<x<4时,|x-4|+=________________.【提示】x2-2x+1=()2,x-1.当1<x<4时,x-4,x-1是正数还是负数?x-4是负数,x-1是正数.【答案】3.10.方程(x-1)=x+1的解是____________.【提示】把方程整理成ax=b的形式后,a、b分别是多少?,.【答案】x=3+2.11.已知a、b、c为正数,d为负数,化简=______.【提示】=|cd|=-cd.【答案】+cd.【点评】 ab=(ab>0),∴ab-c2d2=()().12.比较大小:-...

1、当您付费下载文档后,您只拥有了使用权限,并不意味着购买了版权,文档只能用于自身使用,不得用于其他商业用途(如 [转卖]进行直接盈利或[编辑后售卖]进行间接盈利)。
2、本站所有内容均由合作方或网友上传,本站不对文档的完整性、权威性及其观点立场正确性做任何保证或承诺!文档内容仅供研究参考,付费前请自行鉴别。
3、如文档内容存在违规,或者侵犯商业秘密、侵犯著作权等,请点击“违规举报”。

碎片内容

九年级数学 二次根式能力训练题 华师大版试卷

您可能关注的文档

确认删除?
VIP
微信客服
  • 扫码咨询
会员Q群
  • 会员专属群点击这里加入QQ群
客服邮箱
回到顶部