电脑桌面
添加小米粒文库到电脑桌面
安装后可以在桌面快捷访问

辽宁省大石桥市高二数学4月月考试题 理-人教版高二全册数学试题VIP免费

辽宁省大石桥市高二数学4月月考试题 理-人教版高二全册数学试题_第1页
1/8
辽宁省大石桥市高二数学4月月考试题 理-人教版高二全册数学试题_第2页
2/8
辽宁省大石桥市高二数学4月月考试题 理-人教版高二全册数学试题_第3页
3/8
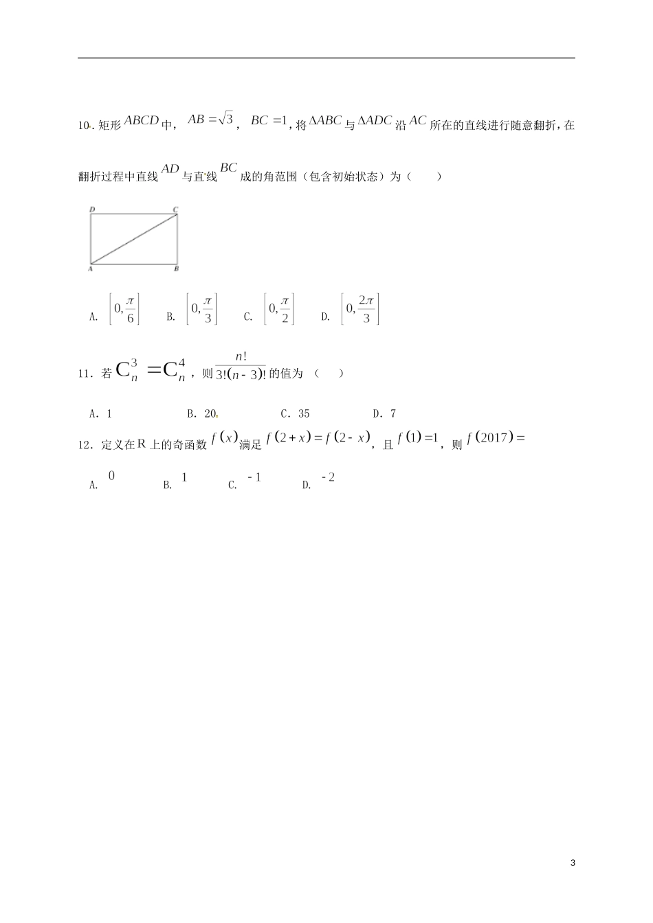
辽宁省大石桥市2016-2017学年高二数学4月月考试题理注意事项:1.答题前填写好自己的姓名、班级、考号等信息2.请将答案正确填写在答题卡上第I卷(选择题)一、选择题1.已知集合,则M∩N为()A.B.C.D.2.复数(是虚数单位)的虚部为()A.B.C.-1D.-23.函数的图象大致是()A.B.C.D.4.设,向量,,,且,,则()ABCD105.在等差数列中,为其前项和,若,则()A.60B.75C.90D.1056.某几何体的三视图如图所示,则该几何体的体积为()1A.B.C.D.7.小孔家有爷爷、奶奶、姥爷、姥姥、爸爸、妈妈,包括他共7人,一天爸爸从果园里摘了7个大小不同的梨,给家里每人一个.小孔拿了最小的一个,爷爷、奶奶、姥爷、姥姥4位老人之一拿最大的一个,则梨子的不同分法共有()A.96种B.120种C.480种D.720种8.下面四个推理中,属于演绎推理的是()A.观察下列各式:,,,…,则的末两位数字为43B.观察,,,可得偶函数的导函数为奇函数C.在平面上,若两个正三角形的边长比为1:2,则它们的面积比为1:4,类似的,在空间中,若两个正四面体的棱长比为1:2,则它们的体积之比为1:8D.已知碱金属都能与水发生还原反应,钠为碱金属,所以钠能与水发生反应9.函数()的部分图象如图所示,其中两点之间的距离为5,则的递增区间是()A.B.C.D.210.矩形中,,,将与沿所在的直线进行随意翻折,在翻折过程中直线与直线成的角范围(包含初始状态)为()A.B.C.D.11.若,则的值为()A.1B.20C.35D.712.定义在上的奇函数满足,且,则A.B.C.D.3第II卷(非选择题)二、填空题13.函数的定义域为_____________________;14.如下图是计算11111246810的值一个程序框图,其中判断框内可填入的条件是______.(请写出关于k的一个不等式)15.将的图象向右平移个单位得到函数的图象,则__________.16.现有2个男生,3个女生和1个老师共六人站成一排照相,若两端站男生,3个女生中有且仅有两人相邻,则不同的站法种数是__________.三、解答题17.在中,角对应的边分别是,已知.(Ⅰ)求的大小;4(Ⅱ)若的面积,,求的值.18.已知数列满足.(1)求数列的通项公式;(2)设,求数列的前项和.19.已知,函数.(Ⅰ)当,时,求不等式的解集;(Ⅱ)若,且,求证:;并求时,的值.20.如图,已知四棱锥的底面为菱形,,,.(Ⅰ)求证:;(Ⅱ)求二面角的余弦值.521.为选拔选手参加“中国汉字听写大会”,某中学举行了一次“汉字听写大赛”活动.为了了解本次竞赛学生的成绩情况,从中抽取了部分学生的分数(得分取正整数,满分为分)作为样本(样本容量为)进行统计.按照的分组作出频率分布直方图,并作出样本分数的茎叶图(图中仅列出了得分在的数据).(1)求样本容量和频率分布直方图中的的值;(2)在选取的样本中,从竞赛成绩在80分以上(含80分)的学生中随机抽取2名学生参加“中国汉字听写大会”,求所抽取的2名学生中至少有一人得分在内的概率.22.如果是实数,且,,为大于1的自然数,用数学归纳法证明:.6参考答案1.C2.C3.D4.B5.B6.D7.C8.D9.B10.C11.C12.B13.14.5k15.16.2417.(I);(II).18.(1);(2).19.(1);(2),.20.(I)详见解析;(II).21.(1);(2).22.证明见解析.78

1、当您付费下载文档后,您只拥有了使用权限,并不意味着购买了版权,文档只能用于自身使用,不得用于其他商业用途(如 [转卖]进行直接盈利或[编辑后售卖]进行间接盈利)。
2、本站所有内容均由合作方或网友上传,本站不对文档的完整性、权威性及其观点立场正确性做任何保证或承诺!文档内容仅供研究参考,付费前请自行鉴别。
3、如文档内容存在违规,或者侵犯商业秘密、侵犯著作权等,请点击“违规举报”。

碎片内容

辽宁省大石桥市高二数学4月月考试题 理-人教版高二全册数学试题

海博书城+ 关注
实名认证
内容提供者

从事历史教学,热爱教育,高度负责。

相关文档

确认删除?
VIP
微信客服
  • 扫码咨询
会员Q群
  • 会员专属群点击这里加入QQ群
客服邮箱
回到顶部