电脑桌面
添加小米粒文库到电脑桌面
安装后可以在桌面快捷访问

高二数学定积分及其应用(理)人教实验版(A)知识精讲VIP免费

高二数学定积分及其应用(理)人教实验版(A)知识精讲_第1页
1/9
高二数学定积分及其应用(理)人教实验版(A)知识精讲_第2页
2/9
高二数学定积分及其应用(理)人教实验版(A)知识精讲_第3页
3/9
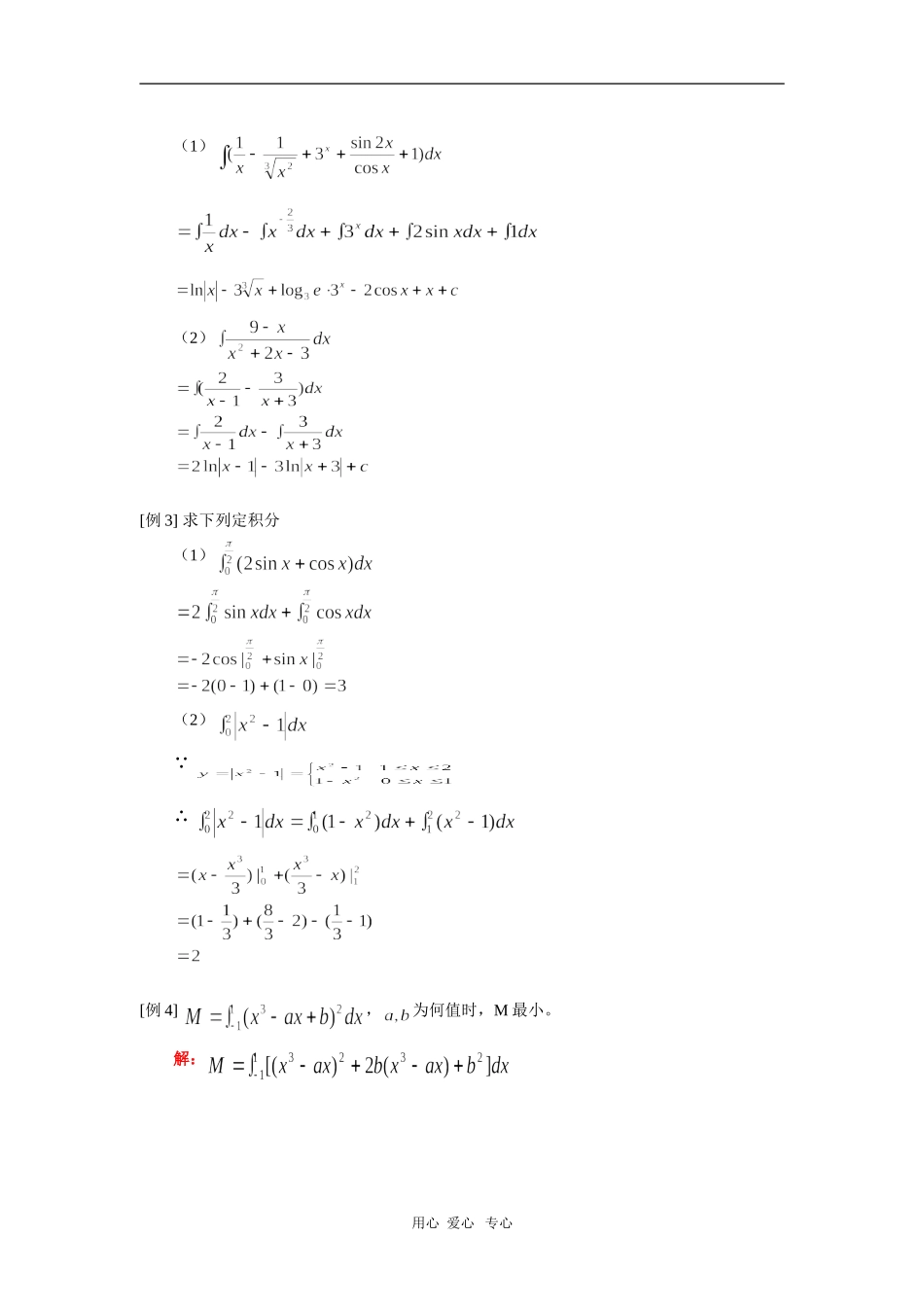
高二数学定积分及其应用(理)人教实验版(A)【本讲教育信息】一.教学内容:定积分及其应用二.重点、难点:1.基本积分表(1)(2)(3)(4)(5)(6)(7)(8)2.运算公式(1)(2)(3)3.【典型例题】[例1]若曲线在x处的导数为且曲线经过点A(1,3),求解析式。解:,过A∴∴[例2]求下列不定积分。用心爱心专心(1)(2)[例3]求下列定积分(1)(2)∵∴[例4],为何值时,M最小。解:用心爱心专心∴时,[例5]已知,,试求的取值范围。解:即设∴为方程两根∴或∴[例6]求抛物线与直线所围成的图形的面积。解:由∴A(1,-1)B(9,3)用心爱心专心[例7]求由抛物线,所围成图形的面积。解:[例8]由抛物线及其在点A(0,-3),B(3,0)处两切线所围成图形的面积。解:,∴P()用心爱心专心[例9]曲线C:,点,求过P的切线与C围成的图形的面积。解:设切点,则切线:过P()∴∴A(0,1)∵∴∴B()∴用心爱心专心[例10]抛物线在第一象限内与直线相切。此抛物线与x轴所围成的图形的面积记为S。求使S达到最大值的a,b值,并求。解:依题设可知抛物线为凸形,它与x轴的交点的横坐标分别为,所以(1)又直线与抛物线相切,即它们有唯一的公共点由方程组得,其判别式必须为0,即于是,代入(1)式得:令;在时得唯一驻点,且当时,;当时,。故在时,取得极大值,也是最大值,即时,S取得最大值,且【模拟试题】1.将和式的极限表示成定积分()A.B.C.D.2.下列等于1的积分是()用心爱心专心A.B.C.D.3.()A.B.C.D.4.已知自由落体运动的速率,则落体运动从到所走的路程为()A.B.C.D.5.曲线与坐标所围成的面积()A.4B.2C.D.36.()A.B.C.D.7.求由围成的曲边梯形的面积时,若选择x为积分变量,则积分区间为()A.B.[0,2]C.[1,2]D.[0,1]8.由直线,及x轴围成平面图形的面积为()A.B.C.D.9.如果1N力能拉长弹簧,为将弹簧拉长6cm,所耗费的功是()A.0.18B.0.26C.0.12D.0.2810.将边长为1米的正方形薄片垂直放于比彼一时为的液体中,使其上距液面距离为2米,则该正方形薄片所受液压力为()A.B.C.D.11.将和式表示为定积分。12.曲线,所围成的图形的面积可用定积分表示为。13.由及x轴围成的介于0与之间的平面图形的面积,利用定积分应表达为。14.计算下列定积分的值。(1)(2)(3)(4)用心爱心专心15.求曲线与轴所围成的图形的面积。16.设是二次函数,方程有两个相等的实根,且。(1)求的表达式;(2)求的图象与两坐标轴所围成图形的面积;(3)若直线(把)的图象与两坐标轴所围成图形的面积二等分,求的值。用心爱心专心【试题答案】1.B2.C3.C4.C5.D6.D7.B8.C9.A10.A11.12.13.14.(1)(2)=(3)(4)15.解:首先求出函数的零点:,又易判断出在(-1,0)内,图形在x轴下方,在(0,2)内,图形在x轴上方,所以所求面积为16.解:(1)设,则又已知∴∴又方程有两个相等实根∴判别式,即故(2)依题意,有所求面积(3)依题意,有∴,∴,于是用心爱心专心

1、当您付费下载文档后,您只拥有了使用权限,并不意味着购买了版权,文档只能用于自身使用,不得用于其他商业用途(如 [转卖]进行直接盈利或[编辑后售卖]进行间接盈利)。
2、本站所有内容均由合作方或网友上传,本站不对文档的完整性、权威性及其观点立场正确性做任何保证或承诺!文档内容仅供研究参考,付费前请自行鉴别。
3、如文档内容存在违规,或者侵犯商业秘密、侵犯著作权等,请点击“违规举报”。

碎片内容

高二数学定积分及其应用(理)人教实验版(A)知识精讲

慧源书店+ 关注
实名认证
内容提供者

从事历史教学,热爱教育,高度负责。

确认删除?
VIP
微信客服
  • 扫码咨询
会员Q群
  • 会员专属群点击这里加入QQ群
客服邮箱
回到顶部