电脑桌面
添加小米粒文库到电脑桌面
安装后可以在桌面快捷访问

高二数学第二章 圆锥曲线知识精讲 人教版VIP免费

高二数学第二章 圆锥曲线知识精讲 人教版_第1页
1/9
高二数学第二章 圆锥曲线知识精讲 人教版_第2页
2/9
高二数学第二章 圆锥曲线知识精讲 人教版_第3页
3/9
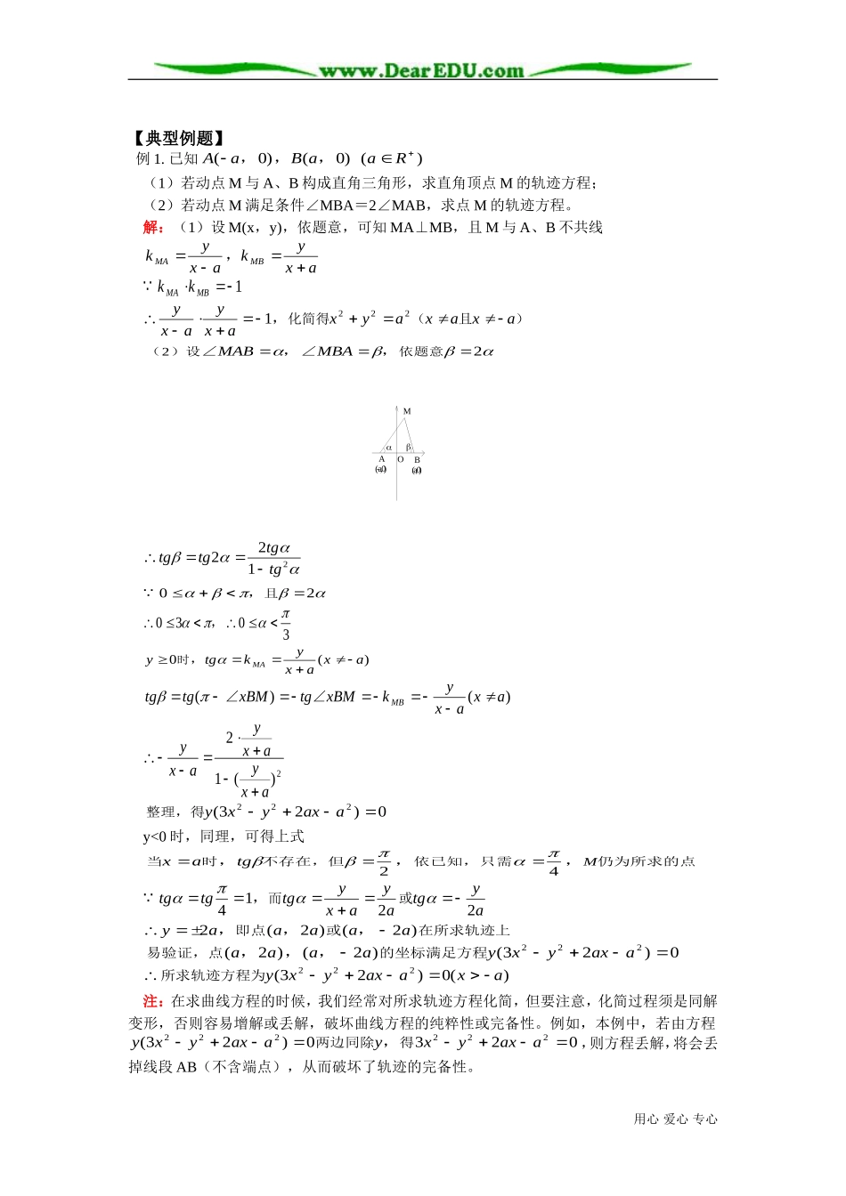
高二数学第二章圆锥曲线知识精讲人教版一.本周教学内容:第二章圆锥曲线§2.1曲线和方程§2.2充要条件§2.3曲线的交点二.重点、难点:1.曲线与方程的关系在平面直角坐标系内,平面上的点M与实数对(x,y)建立了一一对应关系。由于点的运动形成了曲线C,与之对应的(x,y)的变化就形成了二元方程f(x,y)=0,若曲线C与方程f(x,y)=0之间形成了如下的对应关系:(1)曲线C上的点的坐标都是方程f(x,y)=0的解(纯粹性);(2)以方程f(x,y)=0的解(x,y)为坐标的点都在曲线C上(完备性),则说方程f(x,y)=0是曲线C的方程,而曲线C是方程f(x,y)=0的曲线。如此以来,曲线C与方程f(x,y)=0是同一事物的两种表现形式。正因为如此,曲线C的某些几何性质在方程f(x,y)=0上有所反映,这样,我们就可以利用方法研究曲线的几何性质。2.求曲线方程的一般步骤:(1)建系设点:若题目中有坐标系,则可省却建系这一步,而直接设曲线上任一点的坐标为(x,y);若题目中没有坐标系,则需先建立适当的坐标系,再设动点坐标。(2)列式:列出适合条件的动点M的集合(或说寻求动点运动时满足的几何规律,通常用等式表示;(3)代换:用动点M的坐标(x,y)把第(2)步的几何规律表示出来,列出方程f(x,y)=0;(4)化简:把f(x,y)=0化为最简形式,但要注意变形时的同解性;(5)证明:证明化简后的方程的解为坐标的点都是曲线上的点,若化简时做的是同解变形,则该步骤可省略。3.由曲线方程的定义可知,两曲线的交点坐标,是这两曲线的方程所构成的方程组的公共解,因此,求曲线交点的问题,就是化为解二元方程组的解的问题,而确定两曲线交点个数的问题就是讨论方程组的解的个数的问题。直线与二次曲线的交点,一般通过联立方程,得到关于x或y的一元二次方程;转化为研究该方程的判别式求解。(1)Δ>0时,直线与二次曲线有两个交点;(2)Δ=0时,直线与二次曲线有一个交点(此时称为相切);(3)若Δ<0,则直线与曲线没有交点(此时不妨称为相离)。当直线与二次曲线相交有两个交点时,直线被两个交点截得的线段叫做二次曲线的弦。弦长的计算是我们经常遇到的问题。一般地,(1)联立直线与二次曲线的方程,消元化为关于x或关于y的一元二次方程;(2)利用韦达定理求出(x1-x2)2,(y1-y2)2;(3)代入两点的距离公式dxxyy()()1221224.关于充要条件设A、B表示两个条件,若AB,则称A是B的充分条件;B是A的必要条件;若A既是B的充分条件,又是B的必要条件,则称A是B的充要条件。充要条件揭示了在数学推理中,两个命题之间的依存关系,它对我们弄清问题的实质很有帮助,要学会正确使用它。用心爱心专心【典型例题】例1.已知AaBaaR()()(),,,00(1)若动点M与A、B构成直角三角形,求直角顶点M的轨迹方程;(2)若动点M满足条件∠MBA=2∠MAB,求点M的轨迹方程。解:(1)设M(x,y),依题意,可知MA⊥MB,且M与A、B不共线kyxakyxaMAMB,kkMAMB1yxayxaxyaxaxa1222,化简得(且)()设依题意∠,∠,22MABMBAMA(-a,0)OB(a,0)tgtgtgtg221202,且0303,ytgkyxaxaMA0时,()tgtgxBMtgxBMkyxaxaMB()()∠∠yxayxayxa212()整理,得yxyaxa()320222y<0时,同理,可得上式当时不存在,但依已知,只需仍为所求的点,,,xatgM24tgtgtgyxayatgya4122,而或yaaaaa222,,,即点或在所求轨迹上()()易验证,点的坐标满足方程,,,()()()aaaayxyaxa22320222所求轨迹方程为yxyaxaxa()()320222注:在求曲线方程的时候,我们经常对所求轨迹方程化简,但要注意,化简过程须是同解变形,否则容易增解或丢解,破坏曲线方程的纯粹性或完备性。例如,本例中,若由方程yxyaxayxyaxa()320320222222两边同除得,,则方程丢解,将会丢掉线段AB(不含端点),从而破坏了轨迹的完备性。用心爱心专心如果对方程化简时...

1、当您付费下载文档后,您只拥有了使用权限,并不意味着购买了版权,文档只能用于自身使用,不得用于其他商业用途(如 [转卖]进行直接盈利或[编辑后售卖]进行间接盈利)。
2、本站所有内容均由合作方或网友上传,本站不对文档的完整性、权威性及其观点立场正确性做任何保证或承诺!文档内容仅供研究参考,付费前请自行鉴别。
3、如文档内容存在违规,或者侵犯商业秘密、侵犯著作权等,请点击“违规举报”。

碎片内容

高二数学第二章 圆锥曲线知识精讲 人教版

慧源书店+ 关注
实名认证
内容提供者

从事历史教学,热爱教育,高度负责。

确认删除?
VIP
微信客服
  • 扫码咨询
会员Q群
  • 会员专属群点击这里加入QQ群
客服邮箱
回到顶部