电脑桌面
添加小米粒文库到电脑桌面
安装后可以在桌面快捷访问

免征车辆购置税的新能源汽车车型目录(第二十二批)VIP免费

免征车辆购置税的新能源汽车车型目录(第二十二批)_第1页
1/15
免征车辆购置税的新能源汽车车型目录(第二十二批)_第2页
2/15
免征车辆购置税的新能源汽车车型目录(第二十二批)_第3页
3/15
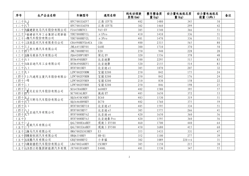
附件1免征车辆购置税的新能源汽车车型目录(第二十二批)(一)纯电动汽车(一)乘用车序号生产企业名称车辆型号通用名称纯电动续驶里程(km)整车整备质量(kg)动力蓄电池组总质量(kg)动力蓄电池组总能量(kWh)备注(二)中国第一汽车集团有限公司CA7006BEVA奔腾X40EV352158038048(三)东风小康汽车有限公司DXK6450EC6BEV东风小康EC36260169035843(四)东风汽车集团有限公司DFM7000G1F6PBEVES500401155035051(五)DFM7000G1F7BEVE70508155536561(六)上汽大众汽车有限公司SVW7001AEVe-LAVIDA278156032935(七)上汽通用汽车有限公司SGM7008LEBEVVELITE6250154026535(八)北京宝沃汽车有限公司BW6450N3BEVBXi54011765385.0±11.053(九)北京汽车制造厂有限公司BJ6330CA41BEVK7EV11296014815(十)北京新能源汽车股份有限公司BJ7001BPHD-BEVEC3301111022131(十一)北京汽车股份有限公司BJ7000C5EA-BEVEU300300161334645(十二)BJ7003U3D-BEVEX400356143035348(十三)长城汽车股份有限公司CC7000ZM01BEV欧拉R131097020631(十四)天津一汽夏利汽车股份有限公司CA7004EV骏派D80EV370170038053(十五)威马汽车制造温州有限公司SZS6460A17BEVEX5PRO403179140055(十六)SZS6460A18BEVEX5300303169832146(十七)北汽(镇江)汽车有限公司BJ6450UD4EVEX5415176245062(十八)浙江豪情汽车制造有限公司HQ7002BEV37GE11410165038452(十九)HQ7002BEV39GE11410165037452(二十)HQ7002BEV45帝豪EV400157036850(二十一)安徽江淮汽车集团股份有限公司HFC7000BEV7江淮iEVA50410174542860(二十二)HFC7000BEV8江淮iEVA50410177542860(二十三)HFC7000EWEV4江淮iEV6E301134029241(二十四)HFC7000EWEV5江淮iEV6E310134029642(二十五)HFC7001AEV3江淮iEV7302134025135(二十六)安徽江淮汽车集团股份有限公HFC7001E1AEV2E·20X3021460299421序号生产企业名称车辆型号通用名称纯电动续驶里程(km)整车整备质量(kg)动力蓄电池组总质量(kg)动力蓄电池组总能量(kWh)备注司(二十七)HFC7001EAEV7江淮iEV7S402148034550(二十八)HFC7001EAEV8江淮iEV7S302146029942(二十九)福建新龙马汽车股份有限公司FJ6450BEVC1V65-EV305154036651(三十)福建省汽车工业集团云度新能源汽车股份有限公司YDE7000BEV1Lπ1Pro410141033651(三十一)YDE7000BEV2Lπ3Pro401147033651(三十二)江西昌河汽车有限责任公司CH6490BEVXA4CAiS6400231556580(三十三)江西大乘汽车有限公司JML6451BEV01G60E300171037050(三十四)JML7000BEV01E2025094022828(三十五)海马商务汽车有限公司ZQ6420DP1BEV荣达EV320155637848(三十六)比亚迪汽车工业有限公司BYD6490SBEV比亚迪唐500229551583(三十七)BYD6490SBEV1比亚迪唐520215551483(三十八)BYD7001BEV比亚迪e1305107020732(三十九)上汽通用五菱汽车股份有限公司LZW7002EVBDM宝骏E20025084217524(四十)LZW7002EVBEM宝骏E20025084217624(四十一)LZW7002EVBEN宝骏E20021083015822(四十二)LZW7002EVBHH宝骏E20025084619825(四十三)重庆长安汽车股份有限公司SC6458AHBEVA600EV402158039557(四十四)SC7003ALBEV致尚ET405165037253(四十五)四川野马汽车股份有限公司SQJ6450C4BEVEC60403153031951(四十六)SQJ6460B9BEVEC70402176037559(四十七)比亚迪汽车有限公司BYD7005BEV10比亚迪e5405159533451(四十八)BYD7005BEV7比亚迪e5305157526641(四十九)BYD7008BEVA2比亚迪e6420165036056(五十)BYD7008BEVA3比亚迪秦Pro420159536056(五十一)观致汽车有限公司QAL7000EAABEV观致3EV500460170044064(五十二)QAL7001EAABEV观致3EV500450168041560(五十三)海马汽车有限公司HMA7002S303BEVE3355143333147(五十四)湖南恒润汽车有限公司HRQ6350BEVHR-S1352110027739(五十五)汉腾汽车有限公司GXQ7000BEV2小幸福3021089220±631(五十六)湖南猎豹汽车股份有限公司LBA7002AABEVCS3BEV305115021530(五十七)江西江铃集团新能源汽车有限JX7001EUABEVE400L4011530347552序号生产企业名称车辆型号通用名称纯电动续驶里程(km)整车整备质量(kg)动...

1、当您付费下载文档后,您只拥有了使用权限,并不意味着购买了版权,文档只能用于自身使用,不得用于其他商业用途(如 [转卖]进行直接盈利或[编辑后售卖]进行间接盈利)。
2、本站所有内容均由合作方或网友上传,本站不对文档的完整性、权威性及其观点立场正确性做任何保证或承诺!文档内容仅供研究参考,付费前请自行鉴别。
3、如文档内容存在违规,或者侵犯商业秘密、侵犯著作权等,请点击“违规举报”。

碎片内容

免征车辆购置税的新能源汽车车型目录(第二十二批)

文章天下+ 关注
实名认证
内容提供者

各种文档应有尽有

确认删除?
VIP
微信客服
  • 扫码咨询
会员Q群
  • 会员专属群点击这里加入QQ群
客服邮箱
回到顶部