电脑桌面
添加小米粒文库到电脑桌面
安装后可以在桌面快捷访问

例1在填料塔中用清水吸收氢与空气的混合气中的氢VIP免费

例1在填料塔中用清水吸收氢与空气的混合气中的氢_第1页
1/6
例1在填料塔中用清水吸收氢与空气的混合气中的氢_第2页
2/6
例1在填料塔中用清水吸收氢与空气的混合气中的氢_第3页
3/6
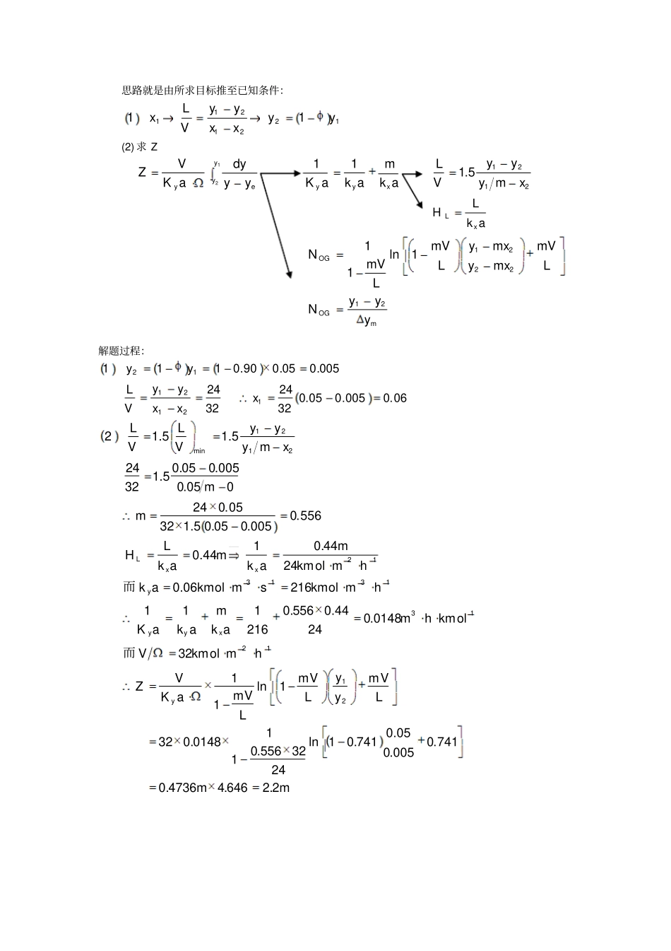
【例3-1】在填料塔中用清水吸收氨与空气的混合气中的氨。混合气流量为1500标13hm,氨所占体积分率为5%,要求氨的回收率达95%。已知塔内径为0.8m,填料单位体积有效传质面积3293mma,吸收系数1121.1atmhmkmolKG。取吸收剂用量为最少用量的1.5倍。该塔在30℃和23.101mkN压力下操作,在操作条件下的平衡关系为278.5mkNCpe,试求:(1)出塔溶液浓度x1;(2)用平均推动力法求填料层高度Z;(3)用吸收因数法求Z。解题思路:首先列出已知条件,并用公式符号和标准单位表达出来。78.5/1,m93,95.06722.41500,0.05,013-2112kmolkNmHmahkmolVyx此题中:思路就是由所求目标推至已知条件。(1)求x12121xxyyVL121211yyyyy或2121min/5.15.1xmyyyVLVLPHMPEmss解题过程是由已知到未知。即求出12xyVLm(2)求Z(平均推动力法)myyyyaKVZ21PaKaKGy221,,,,,yVmyy(3)求Z(吸收因数法)LmVxxyyLmVLmVaKVZy21211ln11按前述计算结果代入即可。解题过程:0105.0025.005.052.41518.4017.305.00025.005.05.15.117.33.1011878.510000025.005.095.01112112121211312yyLVxxmyyyVLmkNkmolkgkmolkNmmkgPHMmyyssmmhmkmolhkmolyyyaKVZymxyyyymxyyyyhmkmolatmmmatmhmkmolPaKaKmymeeGy29.800748.00025.005.08.043.1026700748.00025.00167.0ln0025.00167.00025.00167.00105.017.305.03.1021931.12221312122222111111332112mLmVmxymxyLmVLmVaKVZy29.8897.1352.3304.1518.410025.005.0518.417.31ln518.417.3118.043.102671ln11322221点评:此题是对吸收章节的全面复习,起码涉及到下面五个重要的知识点。1.吸收平衡关系——亨利定律,涉及了m与H的换算公式,H的单位,也复习到了。2.操作线方程和最小液气比的计算。3.传质系数及其关系的换算,PaKaKGy4.平均推动力法求算填料层高度。5.吸收因数法求算填料层高度。还有吸收率和理想气体状态方程等均有涉及。【例3-2】某填料吸收塔,用清水吸收某气体混合物中的有害物质A,若进塔气中含A5%(体积%),要求吸收率为90%,气体流率为1232hmkmol,液体流率为1224hmkmol,此时的液气比是最小液气比的1.5倍。如果物质服从亨利定律(即平衡关系为直线),并已知液相传质单元高度为0.44m,气相体积传质分系数1306.0smkmolaky,试求:(1)塔底排出液组成x1;(2)用吸收因数法求所需填料层高度Z;(3)用平均推动力法求Z。解题思路:首先列出已制条件,并用公式符号和标准单位表达出来。此题中,24,32,90.0,05.0,0121212hmkmolLhmkmolVyx以液体传质分系数表达的传质单元高度为0.44m,即makLHxL44.0思路就是由所求目标推至已知条件:122121111yyxxyyVLx(2)求Z12yyeyyydyaKVZakmakaKxyy1121215.1xmyyyVLakLHxLmOGOGyyyNLmVmxymxyLmVLmVN2122211ln11解题过程:06.0005.005.032243224005.005.090.01111212112xxxyyVLyymmLmVyyLmVLmVaKVZhmkmolVkmolhmakmakaKhmkmolsmkmolakhmkmolmakmakLHmmxmyyyVLVLyxyyyxxL2.2646.44736.0741.0005.005.0741.01ln2432556.0110148.0321ln11320148.02444.0556.021611121606.02444.0144.0556.0005.005.05.13205.024005.0005.005.05.132245.15.122112131313122121min而而mmNaKVZyyyNyyyyymxyyyymxyyyyOGymOGmee21.2664.40148.032664.410647.9005.005.010647.9005.00166.0ln005.00166.0ln005.00166.006.0556.005.03321321212222211111点评:此题不仅复习了操作线方程、最小掖气比公式、填料层高度的两种公式。其区别于例3-1的特点是:①通过给出的液气比来求m②通过给出传质单元高度HL来求传质分系数kxa复习了总传质系数与分传质分数之间的关系式。【例3-3】有一吸收塔,填料层高度为3m,在常压、20℃用清水来吸收氨和空气混合气体中的氨。吸收率为99%,进口气体中含氨6%(体积%),进口气体速率为58012hmkg,进口清水速率为77012hmkg,假设在等温条件下逆流吸收操作,平衡关系xye9.0,且aKG与气体质量流速的0.8次方成正比,分别计算改变下列操作条件后,达到相同分离程度所需填料层高度。(1)将操作压强增加一倍(P=202.6kPa),其他条件不变。(2)将进口清水量增加一倍,其他条件不变。(3)将进口气体流量增加一倍,其他条件不变。解题思路:首...

1、当您付费下载文档后,您只拥有了使用权限,并不意味着购买了版权,文档只能用于自身使用,不得用于其他商业用途(如 [转卖]进行直接盈利或[编辑后售卖]进行间接盈利)。
2、本站所有内容均由合作方或网友上传,本站不对文档的完整性、权威性及其观点立场正确性做任何保证或承诺!文档内容仅供研究参考,付费前请自行鉴别。
3、如文档内容存在违规,或者侵犯商业秘密、侵犯著作权等,请点击“违规举报”。

碎片内容

例1在填料塔中用清水吸收氢与空气的混合气中的氢

文库响当当+ 关注
实名认证
内容提供者

该用户很懒,什么也没介绍

相关文档

确认删除?
VIP
微信客服
  • 扫码咨询
会员Q群
  • 会员专属群点击这里加入QQ群
客服邮箱
回到顶部