电脑桌面
添加小米粒文库到电脑桌面
安装后可以在桌面快捷访问

假设检验习题及答案VIP免费

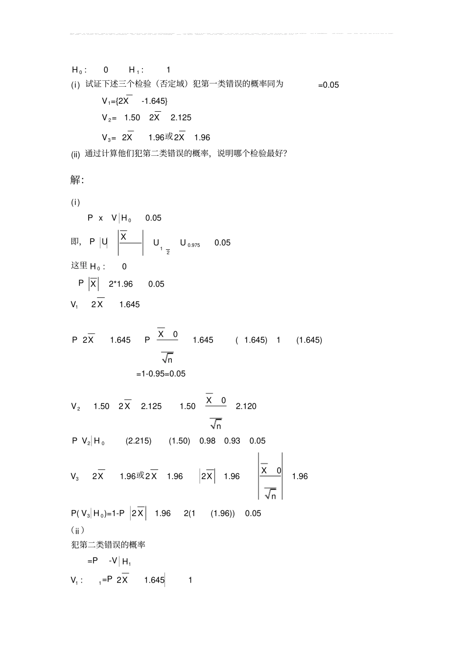
假设检验习题及答案_第1页
1/10
假设检验习题及答案_第2页
2/10
假设检验习题及答案_第3页
3/10
relationship,establishedequivalentrelationship14,andsubject:applicationproblem(4)--scoresandpercentageapplicationproblemreviewcontentoverviewanswersscores,andpercentageapplicationproblemofkeyis:accordingtomeaning,(1)determinestandardvolume(units"1")(2)findassociate"volumeratecorrespondsto"relationship,Thenin-linesolution.CategoryfractionmultiplicationwordproblemscoreDivisionapplicationsengineeringproblemproblemXV,asubject:reviewofthemeasurementoftheamountofcapacity,measurementandunitsofmeasurementofcommonunitsofmeasurementandtheirsignificanceinrate1,currency,length,area,volume,unitsize,volume,weightandrate.(Omitted)2,commonlyusedtimeunitsandtheirrelationships.(Slightly)withameasurementunitsZhijianofofpoly1,andofmethod2,andpolymethod3,andofmethodandpolymethodofrelationshipmeasurementdistanceofmethod1,andtoolmeasurement2,andestimates16,andsubject:geometrypreliminaryknowledge(1)--lineandanglereviewcontentline,andsegment,andRay,andvertical,andparallel,andangleangleofclassification(slightly)17,andsubject:geometrypreliminaryknowledge(2)--planegraphicsreviewcontenttriangle,andedgesshaped,andround,andfanaxisymmetricgraphicsperimeterandareacombinationgraphicsofareasubject:Preliminaryknowledge(3)-reviewofsolidcontentcategory1-dshapesaredividedinto:cylinderandcone2,columnisdividedinto:cuboid,square3,coneconeofthefeaturesofcuboidsandcubesrelationshipbetweencharacteristicsofcircularconeisslightlysolidsurfaceareaandvolume1,size2,table...和第三章假设检验3.2一种元件,要求其使用寿命不低于1000(小时),现在从一批这种元件中随机抽取25件,测得其寿命平均值为950(小时)。已知这种元件寿命服从标准差100(小时)的正态分布,试在显著水平0.05下确定这批元件是否合格。0100001:1000,H:1000Xu=950100n=251000950-1000u=2.510025V=u0.05Hnxu提出假设:构造统计量:此问题情形属于u检验,故用统计量:此题中:代入上式得:拒绝域:本题中:0.950.950u1.64u0.0uH即,拒绝原假设认为在置信水平5下这批元件不合格。3.4某批矿砂的五个样品中镍含量经测定为(%):3.253.273.243.263.24设测定值服从正态分布,问在0.01下能否接受假设,这批矿砂的镍含量为01011020:3.25H:tXt=13.252,S=0.0117,n=53.252-3.25t=0.34190.011751HSnx提出假设:构造统计量:本题属于未知的情形,可用检验,即取检验统计量为:本题中,代入上式得:否定域为:1-20.995120V=t>t(1)0.01,(4)4.6041,3.25ntttHQ本题中,接受认为这批矿砂的镍含量为。relationship,establishedequivalentrelationship14,andsubject:applicationproblem(4)--scoresandpercentageapplicationproblemreviewcontentoverviewanswersscores,andpercentageapplicationproblemofkeyis:accordingtomeaning,(1)determinestandardvolume(units"1")(2)findassociate"volumeratecorrespondsto"relationship,Thenin-linesolution.CategoryfractionmultiplicationwordproblemscoreDivisionapplicationsengineeringproblemproblemXV,asubject:reviewofthemeasurementoftheamountofcapacity,measurementandunitsofmeasurementofcommonunitsofmeasurementandtheirsignificanceinrate1,currency,length,area,volume,unitsize,volume,weightandrate.(Omitted)2,commonlyusedtimeunitsandtheirrelationships.(Slightly)withameasurementunitsZhijianofofpoly1,andofmethod2,andpolymethod3,andofmethodandpolymethodofrelationshipmeasurementdistanceofmethod1,andtoolmeasurement2,andestimates16,andsubject:geometrypreliminaryknowledge(1)--lineandanglereviewcontentline,andsegment,andRay,andvertical,andparallel,andangleangleofclassification(slightly)17,andsubject:geometrypreliminaryknowledge(2)--planegraphicsreviewcon...

1、当您付费下载文档后,您只拥有了使用权限,并不意味着购买了版权,文档只能用于自身使用,不得用于其他商业用途(如 [转卖]进行直接盈利或[编辑后售卖]进行间接盈利)。
2、本站所有内容均由合作方或网友上传,本站不对文档的完整性、权威性及其观点立场正确性做任何保证或承诺!文档内容仅供研究参考,付费前请自行鉴别。
3、如文档内容存在违规,或者侵犯商业秘密、侵犯著作权等,请点击“违规举报”。

碎片内容

假设检验习题及答案

您可能关注的文档

确认删除?
VIP
微信客服
  • 扫码咨询
会员Q群
  • 会员专属群点击这里加入QQ群
客服邮箱
回到顶部