电脑桌面
添加小米粒文库到电脑桌面
安装后可以在桌面快捷访问

元积分学的几何应用全程版VIP免费

元积分学的几何应用全程版_第1页
1/4
元积分学的几何应用全程版_第2页
2/4
元积分学的几何应用全程版_第3页
3/4
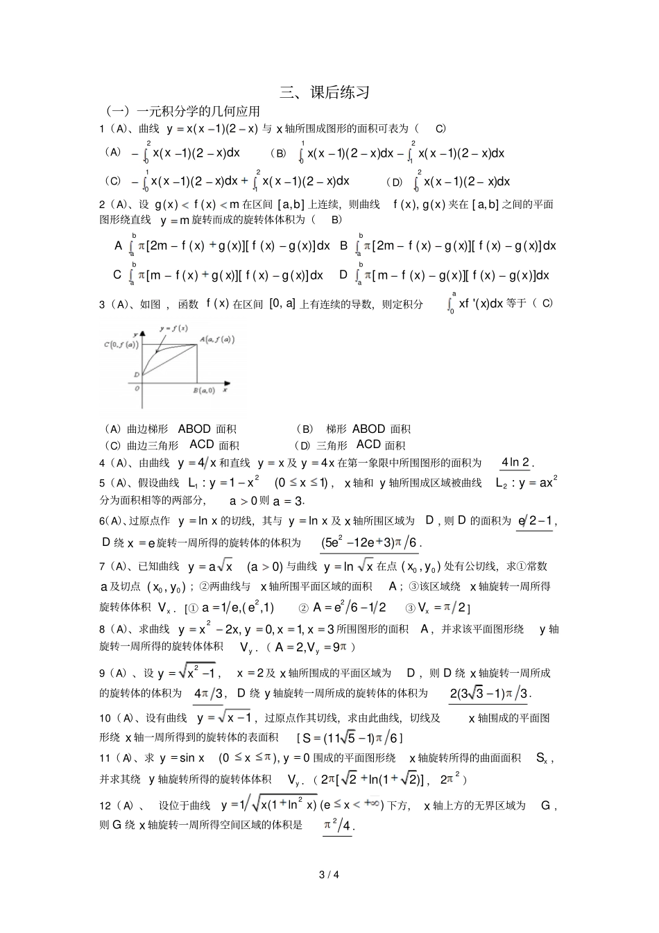
1/4一元积分学的几何应用(公共)一、考试内容(一)一元积分学的几何应用1、平面图形的面积{(,),()()}[()()]baXDxyaxbgxyfxSfxgxdx型区域的面积为;(),(),()()bayfxygxxaxbaSfxgxdx由曲线与直线所围图型的面积为;{(,)()(),}[()()]dcYDxygyxfycydSfygydy型区域的面积为;(),(),()()dcxfyxgyycydcSfygydy由曲线与直线所围图型的面积为;221{(,),()()}[()()]2DgfSfgd型区域的面积为;2、旋转体体积22{(,),0()()}[()()]bxaXDxyaxbgxyfxxVfxgxdx型区域绕轴旋转一周的=;22()0,()0,,()()bxayfxygxxaxbaxVfxgxdx所围图形绕轴旋转一周的=;22{(,)0()(),}[()()]dycYDxygyxfycydyVfygydy型区域绕轴旋转一周的=;22()0,()0,()()dycxfyxgyycydcyVfygydy,所围图形绕轴旋转一周的=;{(,)0,()()}2[()()]byaXDxyaxbgxyfxyVxfxgxdx型区域绕轴旋转一周的=;(),(),,02()()byayfxygxxaxbayVxfxgxdx所围图形绕轴旋转一周生成的=;{(,)()(),0}2[()()]dxcYDxygyxfycydxVyfygydy型区域绕轴旋转一周的=;(),(),02()()dxcxfyxgyycydcxVyfygydy,所围图形绕轴旋转一周的=;22{(,),()()}{[()][()]}baDxyaxbkgxyfxykVfxkgxkdx绕旋转一周的=;22(),(),,[()][()]bayfxkygxkxaxbaykVfxkgxkdx所围图形绕旋转一周的=;{(,),()()}2()[()()]baDxykaxbgxyfxxkVxkfxgxdx绕旋转一周的=;注:利用平面图形的面积与旋转体体积公式时,有时可借助参数方程或极坐标表示,xy3、曲线的弧长(数三不要求)22:(),(),[,]'()'()btLaLxftygttabLdsftgtdt的弧长=;22:(),[,]()'()LLfLdsffd的弧长=;4、旋转体的侧面积(数三不要求)2:()0,[,]2()2()1'()bxLaLyfxxabxSfxdsfxfxdx绕轴旋转一周的侧面积=;()(){(,),0()()}2()()xyfxygxDxyaxbgxyfxxSfxdsgxds绕轴旋转一周的=222[()1'()()1'()]bafxfxgxgxdx二、典型例题2/4(一)一元积分学的几何应用例1、如图,连续函数()yfx在3,2,2,3上的图形分别是直径为1的上、下半圆周,在2,0,0,2的图形分别是直径为2的下、上半圆周,设0()()dxFxftt,则有(C)(A)3(3)(2)4FF(B)5(3)(2)4FF(C)3(3)(2)4FF(D)5(3)(2)4FF提示:(3)3(2)43(2)4FFF,故选(C).例2、求由曲线23xy及22xy在上半平面围成图形的面积A及周长S.解:122302[2]Axxdx,或12302[4()](5+2)10Axxdx12021(32)22Sydy2(13138)2722.例3、设D是由曲线3xy,直线ax)0(a及x轴所转成的平面图形,yxVV,分别是D绕x轴和y轴旋转一周所形成的立体的体积,若yxVV10,则77a.提示:253035axVydxa,7302()67ayVxfxdxa.例4、求曲线)cos1(4r和直线0,2所围成图形绕极轴旋转一周的xV.解:8022202sincosxVydxrdrcos1220(1)(1)(12)160ttttdt.例5、23()1xfxtdt位于第一象限的图像与x轴、y轴所围区域的面积为529.提示:面积4444320000()[()]'()12Afxdxxfxxfxdxxxdx.例6、曲线0tan(04)xytdtx的弧长sln(12).提示:44422400001'1tansec[ln(tansec)]sydxxdxxdxxx.例7、过2xy上一点),(2aa做切线,问a为何值时所作切线与抛物线142xxy所围区域的面积最小?解:易得两曲线交点342)2(,342)2(2221aaaxaaax21222324[(41)(2)](243)3xxSxxaxxdxaa韦达定理,易知1a时min43S.例8、设D是位于曲线2(1,0)xayxaax下方、x轴上方的无界区域,(1)求区域D绕x轴旋转一周所成旋转体的体积()Va;(2)当a为何值时,()Va最小?提示:(1)22200()()lnxaVayxdxxadxaa(2)3()2(ln1)lnVaaaa2()().aeVaVee时取最小值3/4三、课后练习(一)一元积分学的几何应用1(A)、曲线(1)(2)yxxx与x轴所围成图形的面积可表为(C)(A)dxxxx20)2)(1((B)dxxxxdxxxx2110)2)(1()2)(1((C)dxxxxdxxxx2110)2)(1()2)(1((D)dxxxx20)2)(1(2(A)、设()()gxfxm在区间[,]ab上连续,则曲线(),()fxgx夹在[,]ab之间的平面图形绕直线ym旋转而成的旋转体体积为(B)Adxxgxfxgxfmba)]()([)]()(2[Bdxxgxfxgxfmba)]()([)]()(2[Cdxxgxfxgxfmba)]()([)]()([Ddxxgxfxgxfmba)]()([)]()([3(A)、如图,函数()fx在区间[0,]a上有连续的导数,则定积分0'()axfxdx等于(C)(A)曲边梯形ABOD面积(B)梯形ABOD面积(C)曲边三角形ACD面积(D)三角形ACD面积4(A)、由曲线4yx和直线yx及4yx在第一象限中所围图形的面积为4ln2.5(A)、假设曲线)1...

1、当您付费下载文档后,您只拥有了使用权限,并不意味着购买了版权,文档只能用于自身使用,不得用于其他商业用途(如 [转卖]进行直接盈利或[编辑后售卖]进行间接盈利)。
2、本站所有内容均由合作方或网友上传,本站不对文档的完整性、权威性及其观点立场正确性做任何保证或承诺!文档内容仅供研究参考,付费前请自行鉴别。
3、如文档内容存在违规,或者侵犯商业秘密、侵犯著作权等,请点击“违规举报”。

碎片内容

元积分学的几何应用全程版

爱的疯狂+ 关注
实名认证
内容提供者

该用户很懒,什么也没介绍

确认删除?
VIP
微信客服
  • 扫码咨询
会员Q群
  • 会员专属群点击这里加入QQ群
客服邮箱
回到顶部