电脑桌面
添加小米粒文库到电脑桌面
安装后可以在桌面快捷访问

全国2015年考试传感器与检测技术试卷及答案讲解VIP专享VIP免费

全国2015年考试传感器与检测技术试卷及答案讲解_第1页
1/9
全国2015年考试传感器与检测技术试卷及答案讲解_第2页
2/9
全国2015年考试传感器与检测技术试卷及答案讲解_第3页
3/9
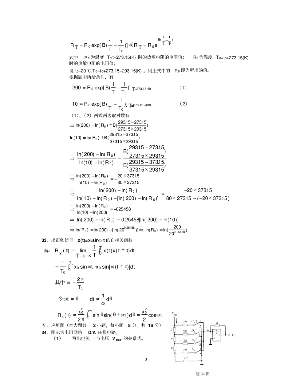
1一、单项选择题(本大题共12小题,每小题2分,共24分)在每小题列出的四个选项中只有一个选项是符合题目要求的,请将正确选项前的字母填在题后的括号内。错选、多选和未选均无分。1.下列被测物理量适合于使用红外传感器进行测量的是(C)A.压力B.力矩C.温度D.厚度2.属于传感器动态特性指标的是(D)A.重复性B.线性度C.灵敏度D.固有频率3.按照工作原理分类,固体图象式传感器属于(A)A.光电式传感器B.电容式传感器C.压电式传感器D.磁电式传感器4.测量范围大的电容式位移传感器的类型为(D)A.变极板面积型B.变极距型C.变介质型D.容栅型5.利用相邻双臂桥检测的应变式传感器,为使其灵敏度高、非线性误差小(C)A.两个桥臂都应当用大电阻值工作应变片B.两个桥臂都应当用两个工作应变片串联C.两个桥臂应当分别用应变量变化相反的工作应变片D.两个桥臂应当分别用应变量变化相同的工作应变片6.影响压电式加速度传感器低频响应能力的是(D)A.电缆的安装与固定方式B.电缆的长度C.前置放大器的输出阻抗D.前置放大器的输入阻抗7.固体半导体摄像元件CCD是一种(C)A.PN结光电二极管电路B.PNP型晶体管集成电路C.MOS型晶体管开关集成电路D.NPN型晶体管集成电路8.将电阻R和电容C串联后再并联到继电器或电源开关两端所构成的RC吸收电路,其作用是(D)A.抑制共模噪声B.抑制差模噪声C.克服串扰D.消除电火花干扰9.在采用限定最大偏差法进行数字滤波时,若限定偏差△Y≤0.01,本次采样值为0.315,上次采样值为0.301,则本次采样值Yn应选为(A)A.0.301B.0.303C.0.308D.0.31510.若模/数转换器输出二进制数的位数为10,最大输入信号为2.5V,则该转换器能分辨出的最小输入电压信号为(B)A.1.22mVB.2.44mVC.3.66mVD.4.88mV11.周期信号的自相关函数必为(A)A.周期偶函数B.非周期偶函数C.周期奇函数D.非周期奇函数12.已知函数x(t)的傅里叶变换为X(f),则函数y(t)=2x(3t)的傅里叶变换为(B)A.2X(f3)B.23X(f3)C.23X(f)D.2X(f)第二部分非选择题(共76分)二、填空题(本大题共12小题,每小题1分,共12分)不写解答过程,将正确的答案写在每小题的空格内。错填或不填均无分。13.对传感器进行动态标定(或校准或测试)的主要目的是检测传感器的动态性能指标。14.传感器的过载能力是指传感器在不致引起规定性能指标永久改变的条件下,允许超过__测量范围___的能力。15.传感检测系统目前正迅速地由模拟式、数字式,向智能化方向发展。16.已知某传感器的灵敏度为K0,且灵敏度变化量为△K0,则该传感器的灵敏度误差计算公式2为rs=(△K0/K0)×100%。17.为了测得比栅距W更小的位移量,光栅传感器要采用细分技术。18.在用带孔圆盘所做的光电扭矩测量仪中,利用孔的透光面积表示扭矩大小,透光面积减小,则表明扭矩增大。19.电容式压力传感器是变极距(或间隙)型的。20.一个半导体应变片的灵敏系数为180,半导体材料的弹性模量为1.8×105Mpa,其中压阻系数πL为1×10-9Pa-1。21.图像处理过程中直接检测图像灰度变化点的处理方法称为微分法。22.热敏电阻常数B大于零的是负温度系数的热敏电阻。23.若测量系统无接地点时,屏蔽导体应连接到信号源的对地低阻抗端(或接地端)。24.交流电桥各桥臂的复阻抗分别为Z1,Z2,Z3,Z4,各阻抗的相位角分别为1234、、、,若电桥平衡条件为Z1/Z4=Z2/Z3,那么相位平衡条件应为1324。三、问答题(本大题共6小题,每小题4分,共24分)25.简述压电式传感器分别与电压放大器和电荷放大器相连时各自的特点。答:传感器与电压放大器连接的电路,其输出电压与压电元件的输出电压成正比,但容易受电缆电容的影响。传感器与电荷放大器连接的电路,其输出电压与压电元件的输出电荷成正比,电缆电容的影响小。26.回答与直线式感应同步器有关的下列问题:(1)它由哪两个绕组组成?(2)鉴相式测量电路的作用是什么?答:(1)由固定绕组和滑动绕组组成。(2)检测感应电动势的相位,从而根据相位确定位移量的大小和方向。27.简述压磁式扭矩仪的工作原理。答:压磁式扭矩仪的轴是强导磁材料。根据磁弹效应,当轴受扭矩作...

1、当您付费下载文档后,您只拥有了使用权限,并不意味着购买了版权,文档只能用于自身使用,不得用于其他商业用途(如 [转卖]进行直接盈利或[编辑后售卖]进行间接盈利)。
2、本站所有内容均由合作方或网友上传,本站不对文档的完整性、权威性及其观点立场正确性做任何保证或承诺!文档内容仅供研究参考,付费前请自行鉴别。
3、如文档内容存在违规,或者侵犯商业秘密、侵犯著作权等,请点击“违规举报”。

碎片内容

全国2015年考试传感器与检测技术试卷及答案讲解

确认删除?
VIP
微信客服
  • 扫码咨询
会员Q群
  • 会员专属群点击这里加入QQ群
客服邮箱
回到顶部