电脑桌面
添加小米粒文库到电脑桌面
安装后可以在桌面快捷访问

全微分方程及积分因子VIP免费

全微分方程及积分因子_第1页
1/4
全微分方程及积分因子_第2页
2/4
全微分方程及积分因子_第3页
3/4
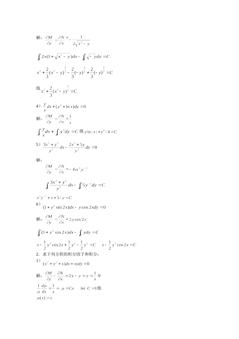
全微分方程及积分因子内容:凑微分法,全微分方程的判别式,全微分方程的公式解,积分因子的微分方程,只含一个变量的积分因子和其他特殊形式的积分因子。由于有数学分析多元微积分的基础,本节的定理1可以简化处理。对课本中第三块知识即全微分方程的物理背景可以留到后面处理,对第四块知识增解和失解的情况要分散在本章各小节,每次都要重视这个问题。关于初等积分法的局限性可归到学习近似解法时一起讲解。重点:全微分方程的公式解和积分因子的计算,难点为凑微分法和积分因子的计算。习题1(1,3,5),2,3思考题:讨论其他特殊形式的积分因子。方程:判定:全微分解法:初值问题积分因子:::1.解下列方程:1)解:=既2)解:=既3)解:=既4)解:=既5)解:=6)解:=2.求下列方程的积分因子和积分:1)解:既2)解:3)解:既4)解:3.求下列方程的积分因子:1)解:2)解:所以3)解:4.设连续可微,,求证:是方程的一个积分因子。证明:==5.设连续,试证方程为线性方程的充要条件是它有仅依赖于的积分因子。证明:方程有仅依赖于的积分因子等价于既方程为线性的

1、当您付费下载文档后,您只拥有了使用权限,并不意味着购买了版权,文档只能用于自身使用,不得用于其他商业用途(如 [转卖]进行直接盈利或[编辑后售卖]进行间接盈利)。
2、本站所有内容均由合作方或网友上传,本站不对文档的完整性、权威性及其观点立场正确性做任何保证或承诺!文档内容仅供研究参考,付费前请自行鉴别。
3、如文档内容存在违规,或者侵犯商业秘密、侵犯著作权等,请点击“违规举报”。

碎片内容

全微分方程及积分因子

您可能关注的文档

确认删除?
VIP
微信客服
  • 扫码咨询
会员Q群
  • 会员专属群点击这里加入QQ群
客服邮箱
回到顶部