电脑桌面
添加小米粒文库到电脑桌面
安装后可以在桌面快捷访问

化工原理练习题过滤VIP免费

化工原理练习题过滤_第1页
1/4
化工原理练习题过滤_第2页
2/4
化工原理练习题过滤_第3页
3/4
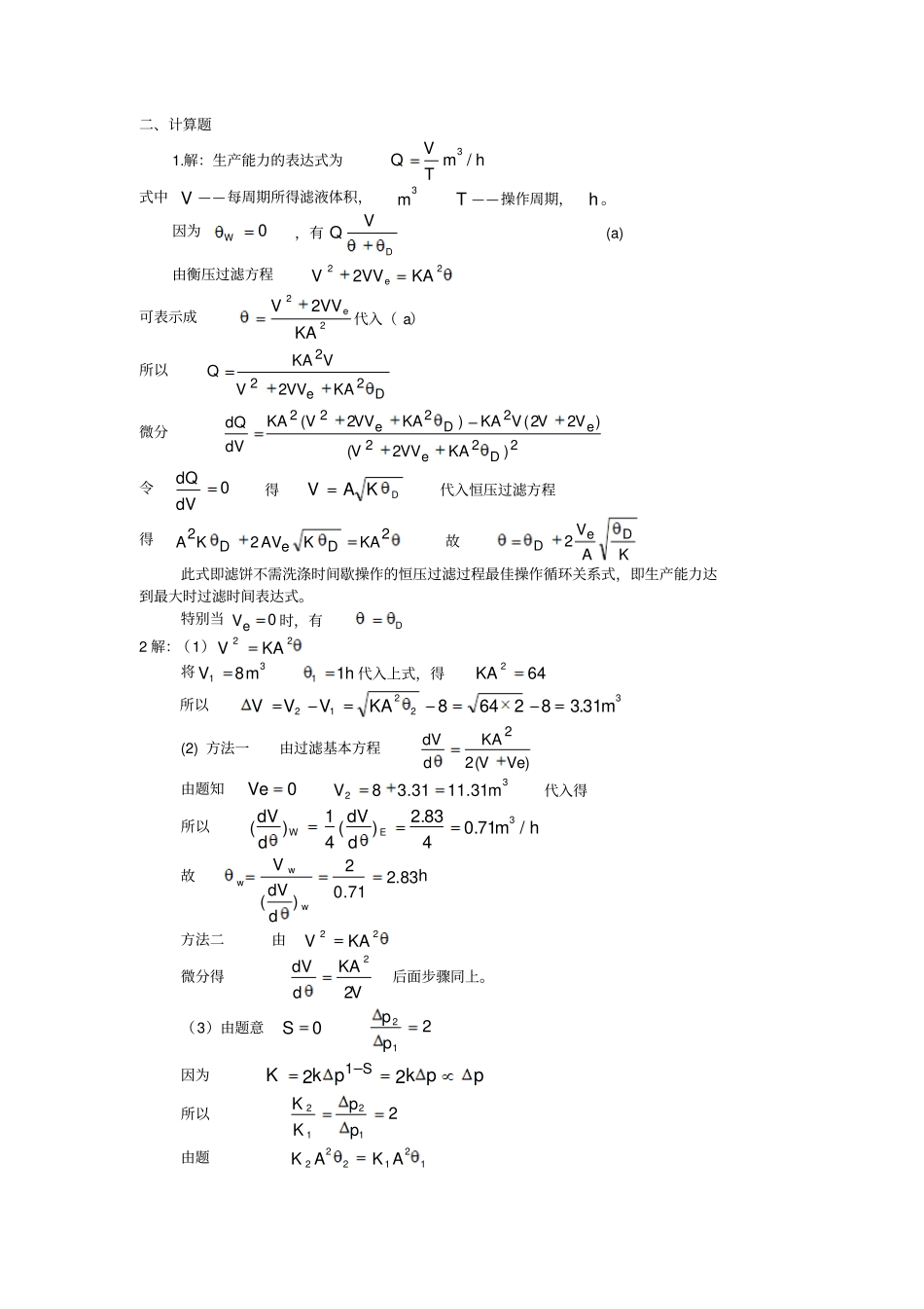
化工原理练习题(过滤)一、填空题1.用板框式过滤机进行恒压过滤操作,随着过滤时间的增加,滤液量,生产能力。2. 转筒真空过滤机,转速为n(r/min),转鼓表面积为A,转鼓的沉浸度为,则过滤周期为 (min),在一个过滤周期中过滤时间为 (min),过滤面积为。3. 在恒压操作一个周期中,已知过滤时间为θ ,获得的滤液量为V ,现仅将过滤压差增加 2 倍,则过滤时间变为 (设滤饼不可压缩,且介质阻力不计) 。4.对板框式过滤机,洗涤面积WA和过滤面积 A 的定量关系为,洗水走过的距离wL和滤液在过滤终了时走过的距离L 的定量关系为,洗涤速率 (WddV )和终了时的过滤速率EddV )(的定量关系为。5.对叶滤机 ,洗涤面积WA和过滤面积 A 的定量关系为 _______,洗水走过的距离WL和滤液在过滤终了时走过的距离L 的定量关系为 ________,洗涤速率 (WddV )与过滤终了时的过滤速率(EddV )的定量关系为 _______。6. 转筒真空过滤机,转速越大,则生产能力就越,每转一周所获得的滤液量就越,形成的滤饼厚度越,过滤阻力越。二、计算题1.设过滤常数为)/(2hmK,过滤介质的当量滤液体积为)(3mVe,过滤时间为,拆装等辅助时间为D ,过滤面积为A ,滤饼不需洗涤,试推导恒压板框过滤机生产能力达到最大时的过滤时间表达式。2. 某板框过滤机在恒压下操作,过滤阶段的时间为h2,已知第h1 过滤得38m 滤液,滤饼不可压缩,滤布阻力可忽略,试求:(1)第h2 可得多少过滤液;(2)过滤h2后用32m 清水(粘度与滤液相近) ,在同样压力下对滤饼进行横穿洗涤,求洗涤时间;(3)若滤液量不变,仅将过滤压差提高1 倍,问过滤时间为多少?(4)若过滤时间不变,仅将过滤压强提高1 倍,问滤液量为多少?3. 在)2(7.202atmkPa操作压力下用板框过滤机处理某物料,操作周期为h3,其中过滤h5.1, 滤 饼 不 需 洗 涤 。 已 知 每 获31m滤 液 得 滤 饼305.0m , 操 作 条 件 下 过 滤 常 数sm /103.325,介质阻力可忽略,滤饼不可压缩。试计算:(1)若要求每周期获36.0m 的滤饼,需多大过滤面积?(2)若选用板框长宽的规格为mm 11,则框数及框厚分别为多少?(3)经改进提高了工作效率,使整个辅助操作时间缩短为1h,则为使上述板框过滤机的生产能力达到最大时,其操作压力提高至多少?4.含固相3%(体)的某种悬浮液,用一小型板框压滤机进行恒压过滤,滤框内的空间尺寸为 200mm×200mm×20mm,总框数为10 个,滤渣充满滤...

1、当您付费下载文档后,您只拥有了使用权限,并不意味着购买了版权,文档只能用于自身使用,不得用于其他商业用途(如 [转卖]进行直接盈利或[编辑后售卖]进行间接盈利)。
2、本站所有内容均由合作方或网友上传,本站不对文档的完整性、权威性及其观点立场正确性做任何保证或承诺!文档内容仅供研究参考,付费前请自行鉴别。
3、如文档内容存在违规,或者侵犯商业秘密、侵犯著作权等,请点击“违规举报”。

碎片内容

化工原理练习题过滤

您可能关注的文档

确认删除?
VIP
微信客服
  • 扫码咨询
会员Q群
  • 会员专属群点击这里加入QQ群
客服邮箱
回到顶部