电脑桌面
添加小米粒文库到电脑桌面
安装后可以在桌面快捷访问

华南理工大学网络教育2017-线性代数和概率统计-平时作业VIP免费

华南理工大学网络教育2017-线性代数和概率统计-平时作业_第1页
1/9
华南理工大学网络教育2017-线性代数和概率统计-平时作业_第2页
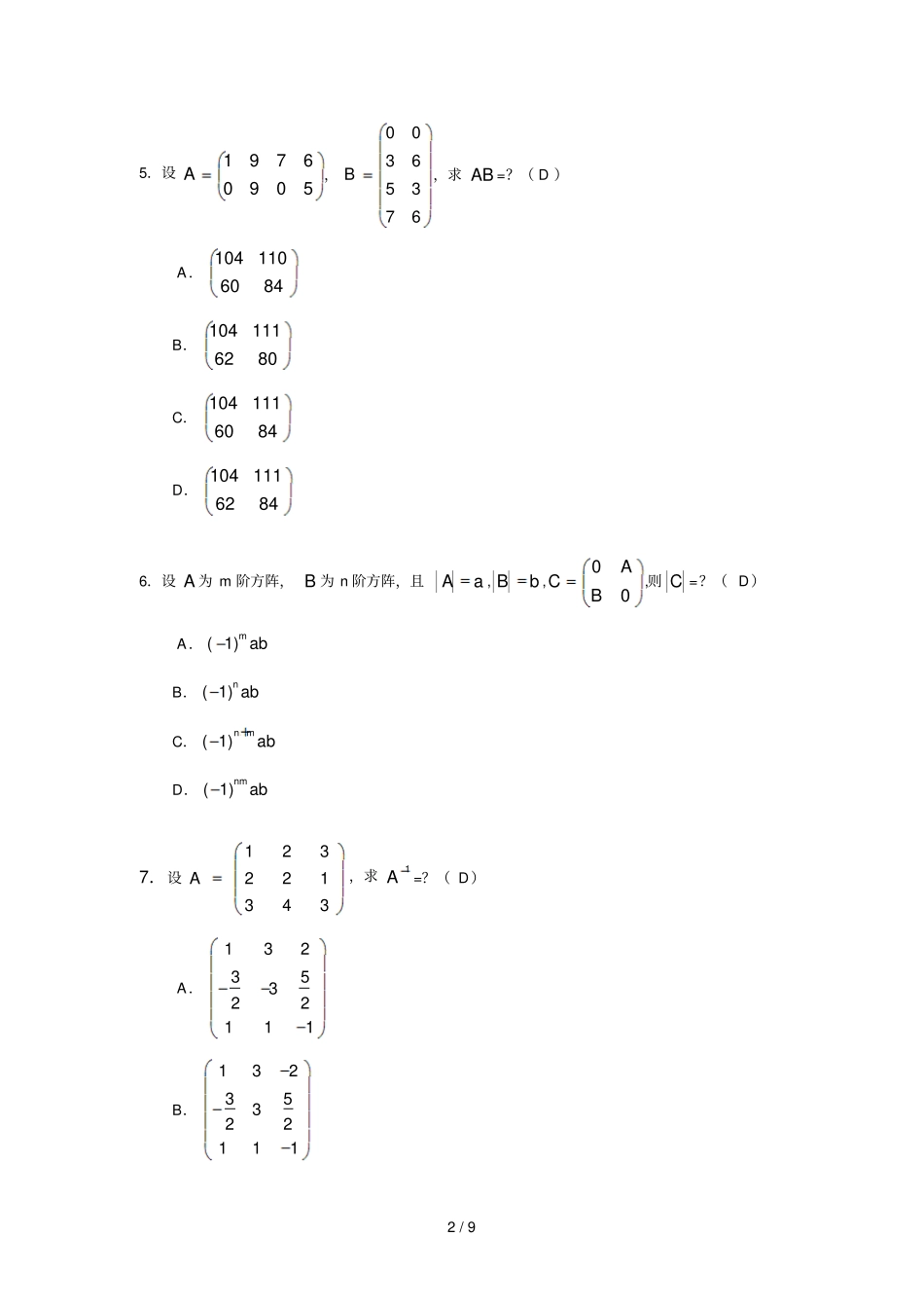
2/9
华南理工大学网络教育2017-线性代数和概率统计-平时作业_第3页
3/9
1 / 9 《线性代数与概率统计》作业题第一部分单项选择题1.计算11221212xxxx?( A )A.12xxB.12xxC.21xxD.212xx2.行列式111111111DB A.3 B.4 C.5 D.6 3.设矩阵231123111,112011011AB,求 AB =B A .-1B.0C.1D.24.齐次线性方程组123123123000xxxxxxxxx有非零解,则=?( C )A.-1 B.0 C.1 D.2 2 / 9 5.设50906791A,67356300B,求 AB =?( D )A. 1041106084B. 1041116280C. 1041116084D. 10411162846.设 A 为 m 阶方阵, B 为 n 阶方阵,且Aa , Bb ,00ACB,则 C =?( D)A. ( 1)m abB. ( 1)nabC. ( 1)n m abD. ( 1)nmab7.设343122321A,求1A=?( D)A.13235322111B.132353221113 / 9 C.13235322111D.132353221118.设,A B 均为 n 阶可逆矩阵,则下列结论中不正确的是(B )A.111[() ]() ()TTTABABB.111()ABABC.11()()kkAA(k 为正整数)D.11()(0)nkAkAk(k 为正整数)9.设矩阵m nA的秩为 r,则下述结论正确的是(D)A. A中有一个 r+1 阶子式不等于零B. A中任意一个r 阶子式不等于零C. A中任意一个r-1 阶子式不等于零D. A中有一个 r 阶子式不等于零10.初等变换下求下列矩阵的秩,321321317051A的秩为?( C )A.0 B.1 C.2 D.3 11.写出下列随机试验的样本空间及下列事件的集合表示:掷一颗骰子,出现奇数点。D A.样本空间为{1,2,3,4,5,6},事件“出现奇数点”为{2,4,6}B.样本空间为{1,3,5} ,事件“出现奇数点”为{1,3,5}C.样本空间为{2,4,6} ,事件“出现奇数点”为{1,3,5}4 / 9 D.样本空间为{1,2,3,4,5,6} ,事件“出现奇数点”为{1,3,5}12.向指定的目标连续射击四枪,用iA 表示“第 i 次射中目标” ,试用iA 表示四枪中至少有一枪击中目标(C ):A.1234A A A AB.12341A A A AC.1234AAAAD.1 13.一批产品由8 件正品和 2 件次品组成, 从中任取 3 件,则这三件产品中至少有一件不是正品的概率为(B )A. 25B. 715C. 815D. 3514.甲乙两人同时向目标射击,甲射中目标的概率为0.8,乙射中目标的概率是0.85,两人同时射中目标的概率为0.68,则目标被射中的概率为(C )A.0.8 B.0.85 C.0.97 D.0.96 15.袋中装有 4 个黑球和 1 个白球, 每次从袋中随机的摸出一个球,并换入一个黑球,继续进行,求第三次摸到黑球的概率是(D)A. 16125B. ...

1、当您付费下载文档后,您只拥有了使用权限,并不意味着购买了版权,文档只能用于自身使用,不得用于其他商业用途(如 [转卖]进行直接盈利或[编辑后售卖]进行间接盈利)。
2、本站所有内容均由合作方或网友上传,本站不对文档的完整性、权威性及其观点立场正确性做任何保证或承诺!文档内容仅供研究参考,付费前请自行鉴别。
3、如文档内容存在违规,或者侵犯商业秘密、侵犯著作权等,请点击“违规举报”。

碎片内容

华南理工大学网络教育2017-线性代数和概率统计-平时作业

文库响当当+ 关注
实名认证
内容提供者

该用户很懒,什么也没介绍

确认删除?
VIP
微信客服
  • 扫码咨询
会员Q群
  • 会员专属群点击这里加入QQ群
客服邮箱
回到顶部