电脑桌面
添加小米粒文库到电脑桌面
安装后可以在桌面快捷访问

压电式传感器习题VIP免费

压电式传感器习题_第1页
1/5
压电式传感器习题_第2页
2/5
压电式传感器习题_第3页
3/5
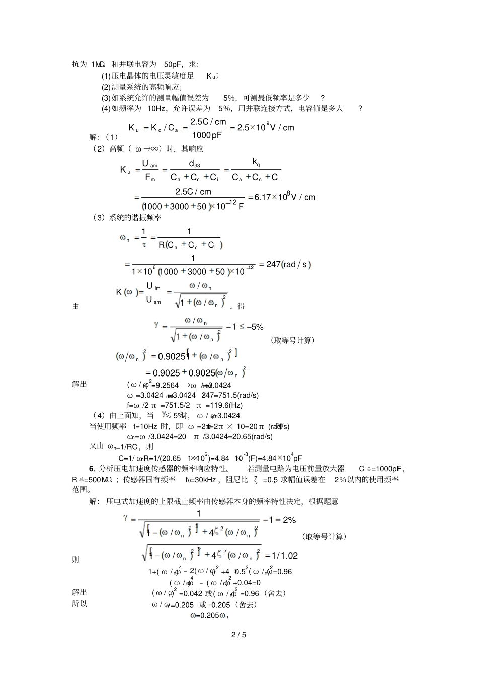
1 / 5 第 6 章压电式传感器1、为什么压电式传感器不能用于静态测量,只能用于动态测量中?而且是频率越高越好?2、什么是压电效应?试比较石英晶体和压电陶瓷的压电效应3、设计压电式传感器检测电路的基本考虑点是什么,为什么? 4、有一压电晶体,其面积为20mm2,厚度为 10mm,当受到压力P=10MPa 作用时,求产生的电荷量及输出电压:(1)零度 X 切的纵向石英晶体;(2)利用纵向效应的BaTiO 3。解: 由题意知,压电晶体受力为F=PS=10×106×20×10-6=200(N) (1)0°X 切割石英晶体,εr=4.5, d11=2.31 ×1012C/N 等效电容36120101010205.41085.8dSCra=7.97×1014 (F)受力 F 产生电荷Q=d11F=2.31×1012×200=462×102(C)=462pC 输出电压VCQUaa3141210796.51097.710462(2)利用纵向效应的BaTiO 3,εr=1900,d33=191×1012C/N 等效电容361201010102019001085.8dSCra=33.6×10-12(F)=33.6(pF) 受力 F 产生电荷Q=d33F=191×1012×200=38200×1012 (C)=3.82×108C 输出电压VCQUaa312810137.1106.331082.35、某压电晶体的电容为1000pF, kq=2.5C/cm ,电缆电容CC=3000pF ,示波器的输入阻2 / 5 抗为 1MΩ和并联电容为50pF,求:(1)压电晶体的电压灵敏度足K u;(2)测量系统的高频响应;(3)如系统允许的测量幅值误差为5%,可测最低频率是多少? (4)如频率为 10Hz,允许误差为5%,用并联连接方式,电容值是多大? 解:(1)cmVpFcmCCKKaqu/105.21000/5.2/9(2)高频( ω →∞)时,其响应icaqicamamuCCCkCCCdFUK33cm/V.Fcm/C.8121017610503000100052(3)系统的谐振频率icanCCCR11srad2471050300010001011126由2/1/nnamimUUK,得%51/1/2nn(取等号计算)22/19025.0nn29025.09025.0n解出( ω / ωn)2=9.2564 →ω / ωn=3.0424 ω =3.0424 ωn=3.0424 ×247=751.5(rad/s) f=ω /2 π =751.5/2π =119.6(Hz)(4)由上面知,当≤ 5%时, ω / ωn=3.0424 当使用频率f=10Hz 时,即 ω =2πf=2π × 10=20 π (rad/s)时ωn=ω /3.0424=20π /3.0424=20.65(rad/s)又由 ωn=1/RC,则C=1/ ωnR=1/(20.65×1×106)=4.84 ×10-8(F)=4.84 104pF 6、分析压电加速度传感器的频率响应特性。若测量电路为电压前量放大器C 总=1000pF,R 总=500MΩ ;传感器固有频率f0=30kHz ,阻尼比 ζ =0.5,求幅值误差在2%以内的使用频率范围。解: 压电式加速度的上限截止频率由传感器本身的频率特...

1、当您付费下载文档后,您只拥有了使用权限,并不意味着购买了版权,文档只能用于自身使用,不得用于其他商业用途(如 [转卖]进行直接盈利或[编辑后售卖]进行间接盈利)。
2、本站所有内容均由合作方或网友上传,本站不对文档的完整性、权威性及其观点立场正确性做任何保证或承诺!文档内容仅供研究参考,付费前请自行鉴别。
3、如文档内容存在违规,或者侵犯商业秘密、侵犯著作权等,请点击“违规举报”。

碎片内容

压电式传感器习题

您可能关注的文档

确认删除?
VIP
微信客服
  • 扫码咨询
会员Q群
  • 会员专属群点击这里加入QQ群
客服邮箱
回到顶部