电脑桌面
添加小米粒文库到电脑桌面
安装后可以在桌面快捷访问

去分母解一元一次方程专项练习247题有答案VIP专享VIP免费

去分母解一元一次方程专项练习247题有答案_第1页
1/4
去分母解一元一次方程专项练习247题有答案_第2页
2/4
去分母解一元一次方程专项练习247题有答案_第3页
3/4
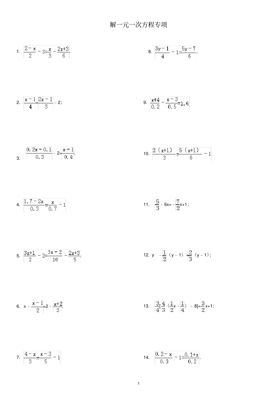
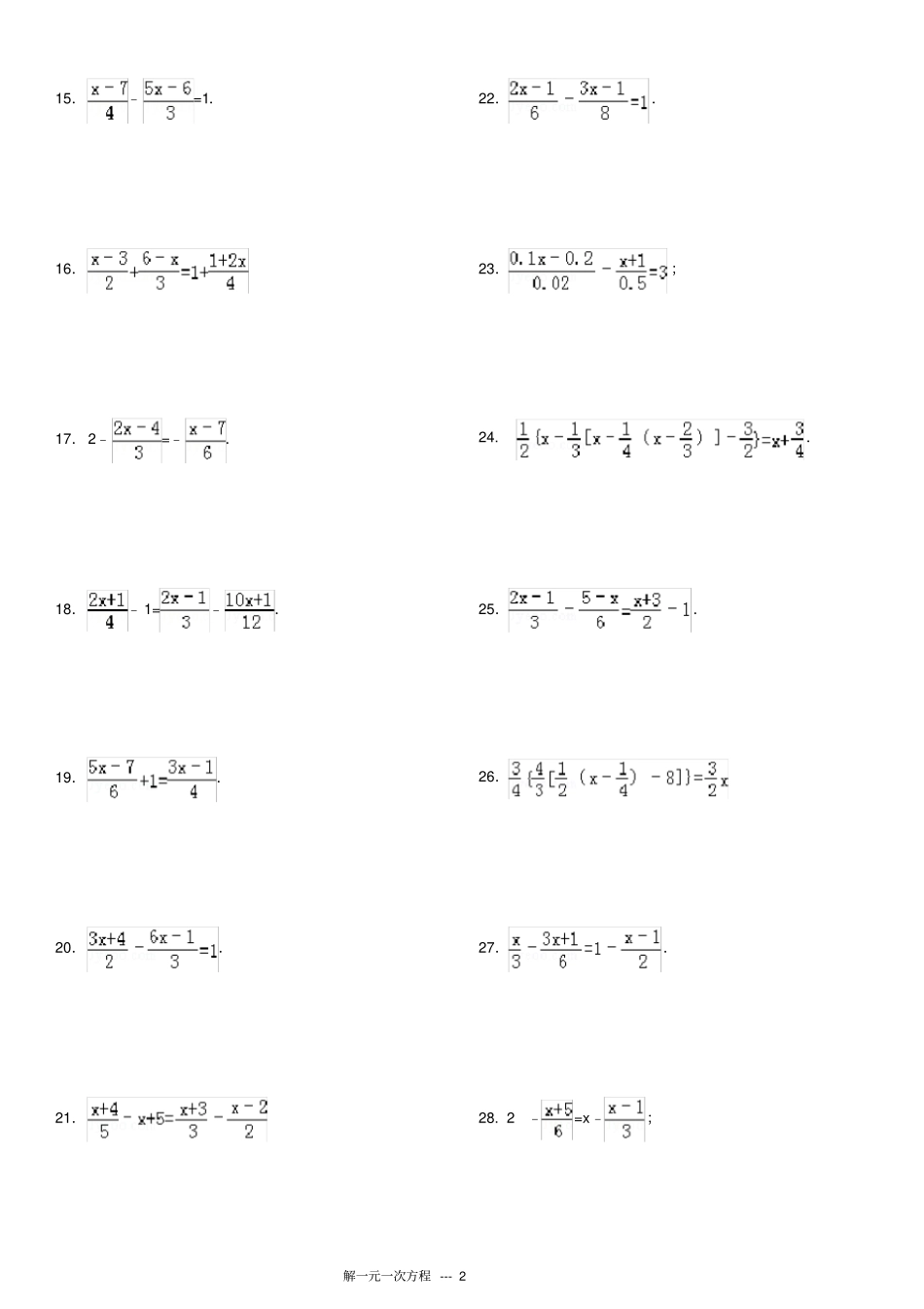
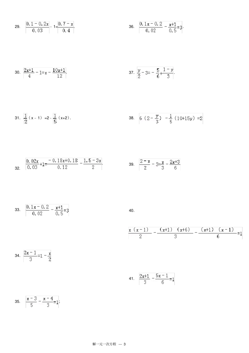
1 解一元一次方程专项1..2.=﹣2;3. ﹣2=.4.5..6.x﹣=2﹣.7.8..9.10.11. ﹣6x=﹣x+1;12. y﹣(y﹣1)=(y﹣1);13. [(x﹣)﹣ 8]=x+1;14. .解一元一次方程 --- 2 15.﹣=1.16.17.2﹣=﹣.18.﹣ 1=﹣.19..20..21.22..23.;24. .25..26.27..28. 2﹣=x﹣;解一元一次方程 --- 3 29. ﹣1=.30..31.( x﹣1)=2﹣(x+2).32. .33.34.35. ;36. .37..38. 39. 40.41. 解一元一次方程 --- 4 42. x﹣43. ;44. .45.( x﹣1)﹣(3x+2)=﹣(x﹣ 1).46.;47. ;48. .49.+1=;50. 75% (x﹣ 1)﹣ 25%(x﹣4)=25%(x+6)51. 52. 53. 54. 55.

1、当您付费下载文档后,您只拥有了使用权限,并不意味着购买了版权,文档只能用于自身使用,不得用于其他商业用途(如 [转卖]进行直接盈利或[编辑后售卖]进行间接盈利)。
2、本站所有内容均由合作方或网友上传,本站不对文档的完整性、权威性及其观点立场正确性做任何保证或承诺!文档内容仅供研究参考,付费前请自行鉴别。
3、如文档内容存在违规,或者侵犯商业秘密、侵犯著作权等,请点击“违规举报”。

碎片内容

去分母解一元一次方程专项练习247题有答案

文库响当当+ 关注
实名认证
内容提供者

该用户很懒,什么也没介绍

确认删除?
VIP
微信客服
  • 扫码咨询
会员Q群
  • 会员专属群点击这里加入QQ群
客服邮箱
回到顶部