电脑桌面
添加小米粒文库到电脑桌面
安装后可以在桌面快捷访问

山西省忻州市高考数学 专题 导数及其运算复习课件VIP免费

山西省忻州市高考数学 专题 导数及其运算复习课件山西省忻州市高考数学 专题 导数及其运算复习课件山西省忻州市高考数学 专题 导数及其运算复习课件山西省忻州市高考数学 专题 导数及其运算复习课件
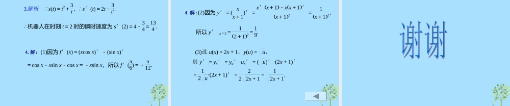
导数及其运算1.导数的概念 (1)函数 y=f(x)在 x=x0 处的导数 函数 y=f(x)在 x=x0 处的瞬时变化率xyx0lim_______________ 为函数 y=f(x)在 x=x0 处的导数,记作 f′(x0)或0xxy 即xyxfx00lim)(_____________________. 必过教材关(2)函数 f(x)的导函数 如果函数 y=f(x)在开区间(a,b)内每一点都是可导的,就说 f(x)在开区间(a,b)内可导,其导数也是开区间(a,b)内的函数,称作 f(x)的导函数,记作__________,即__________ 2. 导数的几何意义 函数 y=f(x)在点 x0 处的导数 f′(x0)的几何意义是曲线 y=f(x)在点(x0,f(x0))处的_______________. 曲线在点 P(x0,f(x0))处的切线方程是___________________. 3.导数的物理意义: 函数 s=s(t)在 t=t0 处的导数 s′(t0)是运动物体在 t=t0时刻的 ,且 v= . 4.导数的运算 (1)基本初等函数的导数公式 ①C′=______(C 为常数); ②(xn)′=______ (n∈Q*); ③(sin x)′=______; ④(cos x)′= ____________; ⑤(ax)′=________ (a>0 且 a≠1); ⑥(ex)′=_____; ⑦(logax)′=________ (a>0 且 a≠1); ⑧ (ln x)′=________. (2)导数的运算法则 ①和差的导数 [f(x)±g(x)]′=_________________. ②积的导数 [f(x)·g(x)]′=________________________; ③商的导数 [fxgx]′=_________________________ (g(x)≠0). (3)复合函数的求导法则 复合函数 y=f(g(x))的导数和函数 y=f(u),u=g(x)的导数间的关系为xy_________, 即 y 对 x 的导数等于_________的导数与_________的导数的乘积. 小题体验 小题纠偏1.曲线 y=ln(x+2)在点 P(-1,0)处的切线方程为( ) A. y=x+1 B. y=-x+1 C. y=2x+1 D. y=-2x+1 2.(2014·新课标卷Ⅱ)设曲线 y=ax-ln(x+1)在点(0,0)处的切线方程为 y=2x,则 a=( ) A.0 B.1 C.2 D.3 3.有一机器人的运动方程为 s=t2+3t(t 是时间,s 是位移),则该机器人在时刻 t=2 时的瞬时速度为________. 4.(1)f(x)=xcos x-sin x,则 f′(π6)=________; (2)y= xx+1,则 y′|x=2=________; (3)y= 2x+1,则 y′=________. 考点一 导数的运算 求下列函数的导数: (1)y=1+sin x1-cos x; (2)y=lnx + 1x; (3)y=(3x3-4x)(2x+1); (4)y=xe-x (5)y=3xex-lo...

1、当您付费下载文档后,您只拥有了使用权限,并不意味着购买了版权,文档只能用于自身使用,不得用于其他商业用途(如 [转卖]进行直接盈利或[编辑后售卖]进行间接盈利)。
2、本站所有内容均由合作方或网友上传,本站不对文档的完整性、权威性及其观点立场正确性做任何保证或承诺!文档内容仅供研究参考,付费前请自行鉴别。
3、如文档内容存在违规,或者侵犯商业秘密、侵犯著作权等,请点击“违规举报”。

碎片内容

山西省忻州市高考数学 专题 导数及其运算复习课件

您可能关注的文档

慧源书店+ 关注
实名认证
内容提供者

从事历史教学,热爱教育,高度负责。

确认删除?
VIP
微信客服
  • 扫码咨询
会员Q群
  • 会员专属群点击这里加入QQ群
客服邮箱
回到顶部