电脑桌面
添加小米粒文库到电脑桌面
安装后可以在桌面快捷访问

七年级数学上合并同类项一--课件很实用,欢迎指点课件苏科版 课件VIP免费

七年级数学上合并同类项一--课件很实用,欢迎指点课件苏科版 课件七年级数学上合并同类项一--课件很实用,欢迎指点课件苏科版 课件七年级数学上合并同类项一--课件很实用,欢迎指点课件苏科版 课件七年级数学上合并同类项一--课件很实用,欢迎指点课件苏科版 课件七年级数学上合并同类项一--课件很实用,欢迎指点课件苏科版 课件
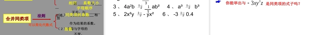
例 1例2活动 4活动3活动2例3小结例 1周末,毛毛一家去肯德基,爸爸、妈妈和毛毛各自选了要吃的东西:活动 1 如图,大长方形由两个小长方形组成,求这个大长方形的面积。85nⅠⅡ活动 2 什么是同类项?( 1 )分类游戏猫、松树、狗、小麦、向日葵、大象猫、狗、大象动物植物松树、小麦、向日葵同类:具有共同特征活动活动 33 :眼力大考场:眼力大考场 2. 想一个办法按照一定的标准给下面的单项式分类8n 7a2b - 2a2b 3 8ab 5n -1 3ab ba22ba27n8n5ab331ab8 所含字母相同,并且相同字母的指数也相同的项,叫做同类项 .所有的常数项也看做同类项 .请同学们一起来帮助下列各单项式找到自己的“朋友”(同类项)-4x 7a2b - y2x n2m 32a2b -x2y -4ab2 6 2mn2 - y2x2 -3 -4ab2 活动活动 44 ::找“朋友”游戏 同类项有两个标准( 1 )所含字母相同; ( 2 )相同字母的指数分别相同; ( 1 )同类项与系数无关;注意( 2 )同类项与字母排列顺序无关; ( 3 )几个常数项也是同类项。 ( 3 ) 4x2 - 8x + 5 - 3x2 +6x - 2( 2 ) xy2 - 3y3 + 2y3 - x2y - xy2( 1 ) 8n + 5n分别指出下列多项式的项例 1 找出下列多项式中的同类项 把多项式中的同类项合并成一项,叫做合并同类项。大长方形面积 =8 n + 5 n =( 8 + 5 ) n = 13 n 如何合并同类项呢?合并同类项法则:( 1 )把同类项的系数相加作为结果的系数( 2 )字母及字母的指数不变。 合并同类项,并说明你计算的理由:(1)7a-5a=______; 理由: _________(2)4x2+x2=____; 理由: ___________(3)5ab2-13ab2=_____; 理由: _______(4) -9x2y3+5x2y3=____; 理由: _____合并同类项的法则:把同类项的系数相加,所得的结果做为系数,字母和字母的指数不变。 ( 3 ) xy2 - 7xy2 = ( )练习: 1. 合并同类项(看谁做的又快又对)( 1 ) 3x3 + x3 = ( ) ( 2 ) -6ab + 6ab = ( )4x30-6xy2 练习练习 22⑴⑴ 下列各题的结果是否正确?(( 11 )) 3x+3y=6x3x+3y=6xyy(( 22 )) 7x-5x=2x7x-5x=2x22 (( 33 )) 16y16y22-7y-7y22=9=9(( 44 )) 19a19a22b-9ab-9a22b=10ab=10a22bb⑵ ⑵ 已知已知 2x2x22yyn+1n+1 与 –与 – 3x3xmmyy44 是同类是同类项,项, 则 则 m = m = ,, n =...

1、当您付费下载文档后,您只拥有了使用权限,并不意味着购买了版权,文档只能用于自身使用,不得用于其他商业用途(如 [转卖]进行直接盈利或[编辑后售卖]进行间接盈利)。
2、本站所有内容均由合作方或网友上传,本站不对文档的完整性、权威性及其观点立场正确性做任何保证或承诺!文档内容仅供研究参考,付费前请自行鉴别。
3、如文档内容存在违规,或者侵犯商业秘密、侵犯著作权等,请点击“违规举报”。

碎片内容

七年级数学上合并同类项一--课件很实用,欢迎指点课件苏科版 课件

您可能关注的文档

慧源书店+ 关注
实名认证
内容提供者

从事历史教学,热爱教育,高度负责。

相关文档

确认删除?
VIP
微信客服
  • 扫码咨询
会员Q群
  • 会员专属群点击这里加入QQ群
客服邮箱
回到顶部