电脑桌面
添加小米粒文库到电脑桌面
安装后可以在桌面快捷访问

数学 3.2 复数代数形式的四则运算课件 新人教A版选修1-2 课件VIP免费

数学 3.2 复数代数形式的四则运算课件 新人教A版选修1-2 课件数学 3.2 复数代数形式的四则运算课件 新人教A版选修1-2 课件数学 3.2 复数代数形式的四则运算课件 新人教A版选修1-2 课件数学 3.2 复数代数形式的四则运算课件 新人教A版选修1-2 课件数学 3.2 复数代数形式的四则运算课件 新人教A版选修1-2 课件
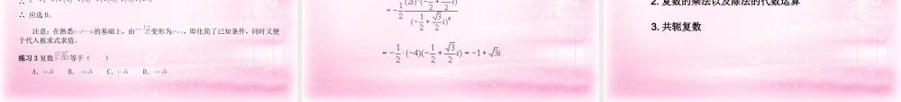
前面我们学习了复数的概念及其几何意义:x 实轴y 虚轴Oz:a + birr=|z|=|z|1. 复数 z=a+bi ,表示向量: oz2. 复数的模等于向量的模:)0(||22rbarbiaz3. 相等的向量表示同一个复数。 下面我们就来进一步讨论复数的运算性质规定 1 :复数的加法规则:z1=a+bi,z2=c+di 是任意的两个复数,那么(a+bi)+(c+di)=(a+c)+(b+d)i因此,两个复数的和仍然是一个确定的复数复数的加法满足交换律和结合律吗? 1. 加法的代数运算:设, z1,z2,z3R∈,有:z1+z2=z2+z1(z1+z2)+z3=z1+(z2+z3)( 交换律 )( 结合律 ) 2 加法的几何意义: z1=a+bi,z2=c+dixyoz1=a+biz2=c+diz=(a+c)+(b+d)i 3. 减法的运算:如何理解复数的减法?1. 代数式: z=a+bi,z1=c+di, 且 z1+z2=z, 则z2=x+yi,z1+z2=z(c+x)+(d+y)i=a+bix=a-cy=b-d2. 几何意义:xyoz2=(a-c)+(b-d)iz1=c+diz=a+bi 例 1. 计算 (5-6i)+(-2-i)-(3+4i)解 原式= (5-2-3)+(-6-1-4)i=-11i 规定 2: 复数的乘法法则:因此,两个复数的乘积仍然是一个确定的复数,它和多项式的运算规则一致复数的乘法是否满足交换律、结合律以及对加法的分配律?复数的乘法法则: 设 , 是任意两个复数,那么它们的积biaz1dicz2ibcadbdacbdiadibciadicbia)()())((2 我们比较容易证明这些性质:1. 交换律: z1·z2=z2·z12. 结合律 :(z1·z2) ·z3=z1· (z2·z3)3. 结合律: z1(z2+z3)=z1z2+z1z3 例 2 计算 . )2)(43)(21(iii解:iiiiii1520)2)(211()2)(43)(21( 例 3 求 . ))((biabia解:2222222)())((baibabiabiabia 两个共轭复数共轭复数 的积是一个实数,这个实数等于每个复数的模的平方,即22||||zzzzzz,两个实部相等,虚部互为相反数的复数互为共轭复数.复数 z 的共轭复数记作 z 若 z = a + bi(a , b∈R) ,则 z= a - bi .共轭复数所对应的点关于实轴对称.容易证明有以下特点:nnzzzzzz21211.2.3.4.2121zzzznnzzzzzz21212121zzzz (z2≠0) 例 4 设 ,求证: ( 1 ) ;( 2 ) i2321 012 .13 证明: ( 1 )22)2321()2321(11ii;04323412321ii22)23(23212)21(2321iii 33)2321(i)2...

1、当您付费下载文档后,您只拥有了使用权限,并不意味着购买了版权,文档只能用于自身使用,不得用于其他商业用途(如 [转卖]进行直接盈利或[编辑后售卖]进行间接盈利)。
2、本站所有内容均由合作方或网友上传,本站不对文档的完整性、权威性及其观点立场正确性做任何保证或承诺!文档内容仅供研究参考,付费前请自行鉴别。
3、如文档内容存在违规,或者侵犯商业秘密、侵犯著作权等,请点击“违规举报”。

碎片内容

数学 3.2 复数代数形式的四则运算课件 新人教A版选修1-2 课件

您可能关注的文档

确认删除?
VIP
微信客服
  • 扫码咨询
会员Q群
  • 会员专属群点击这里加入QQ群
客服邮箱
回到顶部