电脑桌面
添加小米粒文库到电脑桌面
安装后可以在桌面快捷访问

三种投资方案的差异性(1) 课件VIP免费

三种投资方案的差异性(1) 课件_第1页
1/4
三种投资方案的差异性(1) 课件_第2页
2/4
三种投资方案的差异性(1) 课件_第3页
3/4
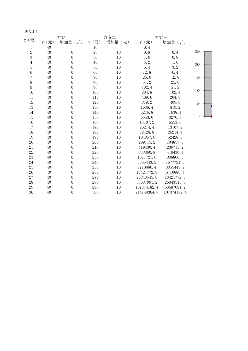
方案一方案二方案三增加量(元)增加量(元)增加量(元)140100.4240020100.80.4340030101.60.8440040103.21.6540050106.43.26400601012.86.47400701025.612.88400801051.225.694009010102.451.21040010010204.8102.41140011010409.6204.81240012010819.2409.613400130101638.4819.214400140103276.81638.415400150106553.63276.8164001601013107.26553.6174001701026214.413107.2184001801052428.826214.41940019010104857.652428.82040020010209715.2104857.62140021010419430.4209715.22240022010838860.8419430.423400230101677721.6838860.824400240103355443.21677721.625400250106710886.43355443.2264002601013421772.86710886.4274002701026843545.613421772.8284002801053687091.226843545.62940029010107374182.453687091.23040030010214748364.8107374182.4表3-4-1x(天) y(元)y(元)y(元)024681012050100150200250方案一 y (元) 增加量(元)方案二 y (元) 增加量(元)方案三 y (元) 增加量(元)024681012050100150200250方案一 y (元) 增加量(元)方案二 y (元) 增加量(元)方案三 y (元) 增加量(元)40y 10yx10.4 2xy方案一方案二方案三回报(元) 回报(元)回报(元)140100.4280301.23120602.841601006520015012.4624021025.2728028050.883203601029360450204.410400550409.211440660818.8124807801638135209103276.41456010506553.215600120013106.81664013602621417680153052428.4187201710104857.2197601900209714.8208002100419430218402310838860.42288025301677721.22392027603355442.82496030006710886251000325013421772.4261040351026843545.2271080378053687090.828112040601073741822911604350214748364.43012004650429496729.2表3-4-2x(天)0 2 4 6 8 1012010020030040050060012345678910f(x) = 0.261185146855875 exp( 0.748079267653363 x )f(x) = 5 x² + 4.99999999999999 x + 2.69632010386691E-14f(x) = 40 xColumn BColumn C 回报(元)Linear ( 回报(元) )Column EColumn F 回报(元)Polynomial ( 回报(元) )Column HColumn I 回报(元)Exponential ( 回报(元) )0 2 4 6 8 1012010020030040050060012345678910f(x) = 0.261185146855875 exp( 0.748079267653363 x )f(x) = 5 x² + 4.99999999999999 x + 2.69632010386691E-14f(x) = 40 xColumn BColumn C 回报(元)Linear ( 回报(元) )Column EColumn F 回报(元)Polynomial ( 回报(元) )Column HColumn I 回报(元)Exponential ( 回报(元) )

1、当您付费下载文档后,您只拥有了使用权限,并不意味着购买了版权,文档只能用于自身使用,不得用于其他商业用途(如 [转卖]进行直接盈利或[编辑后售卖]进行间接盈利)。
2、本站所有内容均由合作方或网友上传,本站不对文档的完整性、权威性及其观点立场正确性做任何保证或承诺!文档内容仅供研究参考,付费前请自行鉴别。
3、如文档内容存在违规,或者侵犯商业秘密、侵犯著作权等,请点击“违规举报”。

碎片内容

三种投资方案的差异性(1) 课件

您可能关注的文档

确认删除?
VIP
微信客服
  • 扫码咨询
会员Q群
  • 会员专属群点击这里加入QQ群
客服邮箱
回到顶部