电脑桌面
添加小米粒文库到电脑桌面
安装后可以在桌面快捷访问

中考数学专题复习 第4讲 因式分解课件VIP免费

中考数学专题复习 第4讲 因式分解课件中考数学专题复习 第4讲 因式分解课件中考数学专题复习 第4讲 因式分解课件中考数学专题复习 第4讲 因式分解课件中考数学专题复习 第4讲 因式分解课件
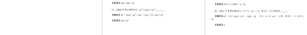
第 4 讲 因式分解 考点知识精讲中考典型精析举一反三考点训练 考 点 因式分解 1.因式分解的定义及与整式乘法的关系 (1)把一个多项式化为几个整式的积的形式,这种运算就是因式分解. (2)因式分解与整式乘法是互逆运算. 2.因式分解的常用方法 (1)提公因式法 如果一个多项式的各项都含有一个相同的因式,那么这个相同的因式,就叫做公因式. 提公因式法用公式可表示为 ma+mb+mc=m(a+b+c),其分解步骤为: ①确定多项式的公因式:公因式为各项系数的最大公约数与相同字母的最低次幂的乘积. ②将多项式除以它的公因式从而得到多项式的另一个因式. (2)运用公式法 将乘法公式反过来对某些多项式进行分解因式,这种方法叫做公式法,即 a2-b2=(a+b)(a-b),a2±2ab+b2=(a±b)2. 3.因式分解的一般步骤 (1)一提:如果多项式的各项有公因式,那么先提公因式; (2)二用:如果各项没有公因式,那么可以尝试运用公式法来分解; (3)三查:分解因式,必须进行到每一个多项式都不能再分解为止. (2009·太原)(1)下列各式中,能用公式法分解因式的是( ) A.x2+4y2 B.a2+a+12 C.-x2+4y2 D.a2+ab+b2 (2)若 x2+2(m-3)x+16 是完全平方式,则 m 的值是( ) A.-5 B.7 C.-1 D.7 或-1 (3)下列由左到右的变形,是因式分解的是( ) A.(a+b)(a-b)=a2-b2 B.x2+x-2=x(x+1)-2 C.x2-2x+1=(x-1)2 D.x2+5x+4=x(x+5+4x) 【点拨】(1)、(2)题考查平方差公式和完全平方公式的特征;(3)题考查因式分解的概念,即把一个多项式化为几个整式的积的形式. 【解答】(1)C (2)D (3)C (1)(2010·苏州)分解因式:a2-a=________; (2)(2010·绵阳)分解因式:x3y-xy=________; (3)(2010·莱芜)分解因式:-x3+2x2-x=________; (4)(2009·嘉兴)分解因式:(x+y)2-3(x+y)=________. 【点拨】在分解因式时,首先考虑用提公因式法,若不能再考虑用公式法,用公式法分解时一定要先化成标准形式,再灵活选用公式. 【解答】(1)原式=a(a-1) (2)原式=xy(x2-1)=xy(x+1)(x-1) (3)原式=-x(x2-2x+1)=-x(x-1)2 (4)原式=(x+y)(x+y-3) 把下列各式分解因式: (1)(2010·杭州)m3-4m; (2)(2010·哈尔滨)2a2-4ab+2b2; (3)(2009·温州)(x+2)(x+4)+x2-4. 【点拨】按因式分解的步骤“一提二用三查”进行分解. 【解答】(1)原式=m(m2-4)=m(m+2)(m-2)...

1、当您付费下载文档后,您只拥有了使用权限,并不意味着购买了版权,文档只能用于自身使用,不得用于其他商业用途(如 [转卖]进行直接盈利或[编辑后售卖]进行间接盈利)。
2、本站所有内容均由合作方或网友上传,本站不对文档的完整性、权威性及其观点立场正确性做任何保证或承诺!文档内容仅供研究参考,付费前请自行鉴别。
3、如文档内容存在违规,或者侵犯商业秘密、侵犯著作权等,请点击“违规举报”。

碎片内容

中考数学专题复习 第4讲 因式分解课件

您可能关注的文档

确认删除?
VIP
微信客服
  • 扫码咨询
会员Q群
  • 会员专属群点击这里加入QQ群
客服邮箱
回到顶部