电脑桌面
添加小米粒文库到电脑桌面
安装后可以在桌面快捷访问

FAFU机器学习 09-2lusteringethods中文VIP免费

FAFU机器学习 09-2lusteringethods中文FAFU机器学习 09-2lusteringethods中文FAFU机器学习 09-2lusteringethods中文FAFU机器学习 09-2lusteringethods中文FAFU机器学习 09-2lusteringethods中文
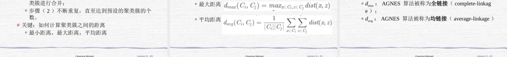
机器学习和聚类方法基础()2020/12/3聚类方法第 9-1 课聚类方法分区方法(),基于原型的聚类() :K- 均值层次聚类()基于密度的聚类()2020/12/3聚类方法第 9-2 课K 均值算法 (K)以中心为基础集群是一组对象,使得集群中的一个对象比任何其他集群的中心更接近(更相似)集群的“中心”星团的中心叫做质心每个点被分配到具有最接近质心的聚类中通常应该指定群集的数量2020/12/3聚类方法第 9-3 课K 均值算法将 {x1 ,…, xn} 划分为 K 个簇( K 是预定义的)初始化指定初始群集中心(质心)迭代直到没有变化对于每个对象 xi (群集分配)计算 xi 和 K 个质心之间的距离(重新)将 xi 分配给质心最接近 xi 的群集根据当前分配更新群集质心(更新群集质心)2020/12/3聚类方法第 9-4 课K 均值 : 初始化2020/12/3聚类方法第 9-5 课K 均值聚类 : 聚类分配2020/12/3聚类方法第 9-6 课K-means 聚类 : 更新聚类质心2020/12/3聚类方法第 9-7 课误差平方和 (SSE)K- 均值 :假设集群 Ci 的质心是 UI对于 Ci 中的每个对象 x ,计算 x 和质心 UI 之间的平方误差求出所有对象的误差2020/12/3聚类方法第 9-8 课K 均值2020/12/3聚类方法第 9-9 课关于 K- 均值方法的评述力量效率 :O(tkn) ,其中 n 是 # 个对象, k 是 # 个簇, t是 # 个迭代。正常情况下, k , t<

1、当您付费下载文档后,您只拥有了使用权限,并不意味着购买了版权,文档只能用于自身使用,不得用于其他商业用途(如 [转卖]进行直接盈利或[编辑后售卖]进行间接盈利)。
2、本站所有内容均由合作方或网友上传,本站不对文档的完整性、权威性及其观点立场正确性做任何保证或承诺!文档内容仅供研究参考,付费前请自行鉴别。
3、如文档内容存在违规,或者侵犯商业秘密、侵犯著作权等,请点击“违规举报”。

碎片内容

FAFU机器学习 09-2lusteringethods中文

您可能关注的文档

确认删除?
微信客服
  • 扫码咨询
会员Q群
  • 会员专属群点击这里加入QQ群