电脑桌面
添加小米粒文库到电脑桌面
安装后可以在桌面快捷访问

圆锥曲线中的焦点三角形VIP免费

圆锥曲线中的焦点三角形_第1页
1/7
圆锥曲线中的焦点三角形_第2页
2/7
圆锥曲线中的焦点三角形_第3页
3/7
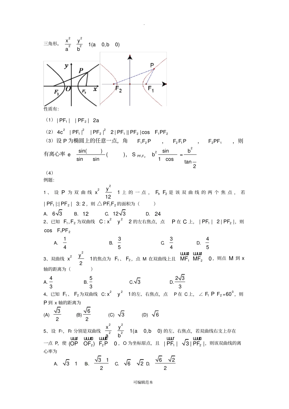
. 可编辑范本焦点三角形焦点三角形问题是重要考点,考到的内容有: 椭圆或双曲线定义和正余弦定理以及面积公式等。常与曲线的离心率相结合,注意平面几何知识的应用。一: 椭圆的焦点三角形椭圆的焦点三角形是指以椭圆的两个焦点12,FF 与椭圆上任意一点P 为顶点组成的三角形。)0(12222babyax性质有:(1)12|||| 2PFPFa(2)2221212124||||2 ||||coscPFPFPFPFF PF(3)椭圆上的点与两焦点连线的夹角以椭圆短轴顶点与两焦点连线的夹角最大.证明:设 P 是椭圆22221xyab(0ab, c 为半焦距)上的一点,O 为原点, E、 F 是椭圆的两焦点,PEm, PFn则222222244222cos1122mncbmnbbEPFmnmnmna,由余弦函数图象性质知EPF 有最大值,当且仅当P 在短轴端点时取到该最大值。(4)设 P 为椭圆上的任意一点,角12F F P,21F F P,21F PF,则有离心率sin()sinsine,122sin1cosPF FSb2=b tan2证明:由正弦定理得:sinsin)180sin(1221PFPFFFo由等比定理得:sinsin)sin(2121PFPFFF而)sin(2)sin(21cFF,sinsin2sinsin21aPFPF∴sinsin)sin(ace。例题:1 、 椭 圆22221( ,0)xya bab的 两 个 焦 点12,FF, 点P 在 椭 圆 上 , 且1212414,||,||33PFPFPFPF.求椭圆的方程22194xy. 可编辑范本2、 设P 为椭圆12222byax)0(ba上一点,F1、 F2 为焦点,如果7521FPF,1512FPF,则椭圆的离心率为( )A.22B.23C.32D.363、1F 、2F 是椭圆17922yx的两个焦点,A 为椭圆上一点,且∠02145FAF,则12AF F 的面积为()A. 7B. 47C.27D.2574、1F 、2F 是椭圆2212516xy的两个焦点,A 为椭圆上一点,且1290 ,F AFo ,则 A 到x 轴的距离为A. 163B. 165C. 161635orD.非上述答案5、设21FF,分别是椭圆1162522yx的左、右焦点,P 为椭圆上一点,12,FFP,是直角三角形的一个顶点,则P 点到 x 轴的距离是A. 163B. 165C. 161653或D. 非上述答案6、设21FF,分别是椭圆221259xy的左、右焦点,P 为椭圆上一点,12,FFP,是是直角三角形的三个顶点,则P 点到 x 轴的距离是A. 94B. 95C. 9954或D. 非上述答案7、过椭圆左焦点F ,倾斜角为3的直线交椭圆于A , B 两点,若FBFA2,则椭圆的离心率为(构造焦点三角形,两次应用余弦定理,整体处理余弦定理的结果)8、已知 Rt ABC,1,ABAC点 C 为椭圆22221(0)xyabab的右焦点,且AB 为经过椭圆左焦点的弦,求椭圆的离心率。9、已知椭圆22221(0)xyabab的...

1、当您付费下载文档后,您只拥有了使用权限,并不意味着购买了版权,文档只能用于自身使用,不得用于其他商业用途(如 [转卖]进行直接盈利或[编辑后售卖]进行间接盈利)。
2、本站所有内容均由合作方或网友上传,本站不对文档的完整性、权威性及其观点立场正确性做任何保证或承诺!文档内容仅供研究参考,付费前请自行鉴别。
3、如文档内容存在违规,或者侵犯商业秘密、侵犯著作权等,请点击“违规举报”。

碎片内容

圆锥曲线中的焦点三角形

爱的疯狂+ 关注
实名认证
内容提供者

该用户很懒,什么也没介绍

确认删除?
VIP
微信客服
  • 扫码咨询
会员Q群
  • 会员专属群点击这里加入QQ群
客服邮箱
回到顶部