电脑桌面
添加小米粒文库到电脑桌面
安装后可以在桌面快捷访问

基本不等式及其应用VIP免费

基本不等式及其应用_第1页
1/11
基本不等式及其应用_第2页
2/11
基本不等式及其应用_第3页
3/11
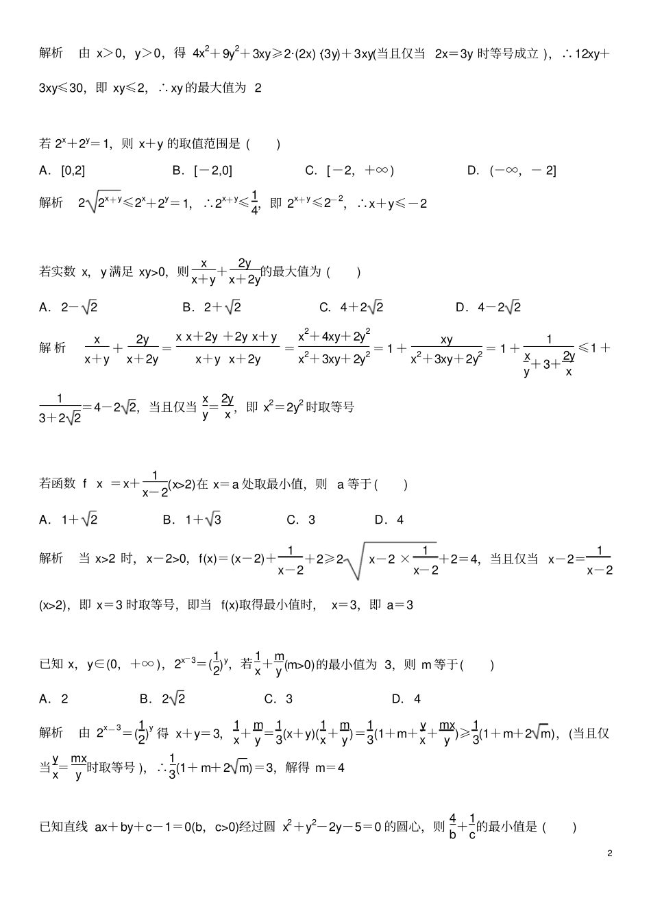
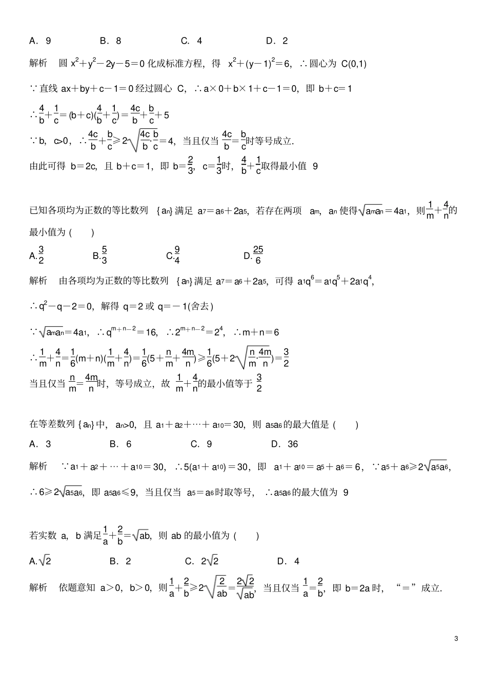
1 基本不等式及其应用1.基本不等式ab≤a+b2(1)基本不等式成立的条件:a≥0,b≥0;(2)等号成立的条件:当且仅当a=b 时取等号.2.几个重要的不等式(1)a2+b2≥2ab(a,b∈R);(2)ba+ab≥2(a,b 同号 ).(3)ab≤ a+b22 (a,b∈R);(4)a2+b22≥ a+b22(a,b∈R).以上不等式等号成立的条件均为a=b. 3.算术平均数与几何平均数(1)设 a≥0,b≥0,则 a,b 的算术平均数为 a+b2 ,几何平均数为ab. (2)基本不等式可叙述为两个非负数的算术平均数不小于它们的几何平均数;也可以叙述为两个正数的等差中项不小于它们正的等比中项.4.利用基本不等式求最值问题已知 x>0,y>0,则(1)若 x+y=s(和为定值 ),则当 x=y 时,积 xy 取得最大值 s24;(2)若 xy=p(积为定值 ),则当 x=y 时,和 x+y 取得最小值 2 p. 选择题:设 x>0,y>0,且 x+y=18,则 xy 的最大值为 () A.80 B.77 C.81 D.82 解析 x>0,y>0,∴x+y2 ≥xy,即 xy≤(x+y2 )2=81,当且仅当 x=y=9 时,(xy)max=81 若正数 x,y 满足 4x2+9y2+3xy=30,则 xy 的最大值是 () A.43B.53C.2 D.542 解析由 x>0,y>0,得 4x2+9y2+3xy≥2·(2x) ·(3y)+3xy(当且仅当 2x=3y 时等号成立 ),∴12xy+3xy≤30,即 xy≤2,∴xy 的最大值为 2 若 2x+2y=1,则 x+y 的取值范围是 () A.[0,2] B.[-2,0] C.[-2,+∞ ) D.(-∞,- 2] 解析22x+y≤2x+2y=1,∴2x+y≤14,即 2x+y≤2-2,∴x+y≤-2 若实数 x,y 满足 xy>0,则xx+y+2yx+2y的最大值为 () A.2-2 B.2+2 C.4+2 2 D.4-2 2 解 析xx+y+2yx+2y=x x+2y +2y x+yx+y x+2y=x2+4xy+2y2x2+3xy+2y2 = 1 +xyx2+3xy+2y2 = 1 +1xy+3+2yx≤1 +13+2 2=4-2 2,当且仅当 xy=2yx ,即 x2=2y2 时取等号若函数 fx =x+1x-2(x>2)在 x=a 处取最小值,则 a 等于 () A.1+2 B.1+3 C.3 D.4 解析当 x>2 时,x-2>0,f(x)=(x-2)+1x-2+2≥2x-2 ×1x-2+2=4,当且仅当 x-2=1x-2(x>2),即 x=3 时取等号,即当 f(x)取得最小值时, x=3,即 a=3 已知 x,y∈(0,+∞ ),2x-3=(12)y,若 1x+my (m>0)的最小值为 3,则 m 等于() A.2 B.2 2 C.3 D.4 解析由 2x-3=(12)y 得 x+y=3, 1x+my =13(x+y)(1x+my)=13(1...

1、当您付费下载文档后,您只拥有了使用权限,并不意味着购买了版权,文档只能用于自身使用,不得用于其他商业用途(如 [转卖]进行直接盈利或[编辑后售卖]进行间接盈利)。
2、本站所有内容均由合作方或网友上传,本站不对文档的完整性、权威性及其观点立场正确性做任何保证或承诺!文档内容仅供研究参考,付费前请自行鉴别。
3、如文档内容存在违规,或者侵犯商业秘密、侵犯著作权等,请点击“违规举报”。

碎片内容

基本不等式及其应用

您可能关注的文档

确认删除?
VIP
微信客服
  • 扫码咨询
会员Q群
  • 会员专属群点击这里加入QQ群
客服邮箱
回到顶部