电脑桌面
添加小米粒文库到电脑桌面
安装后可以在桌面快捷访问

电大药学09秋《药物化学》期末自测题(1)-金色阳光人才VIP免费

电大药学09秋《药物化学》期末自测题(1)-金色阳光人才_第1页
1/6
电大药学09秋《药物化学》期末自测题(1)-金色阳光人才_第2页
2/6
电大药学09秋《药物化学》期末自测题(1)-金色阳光人才_第3页
3/6
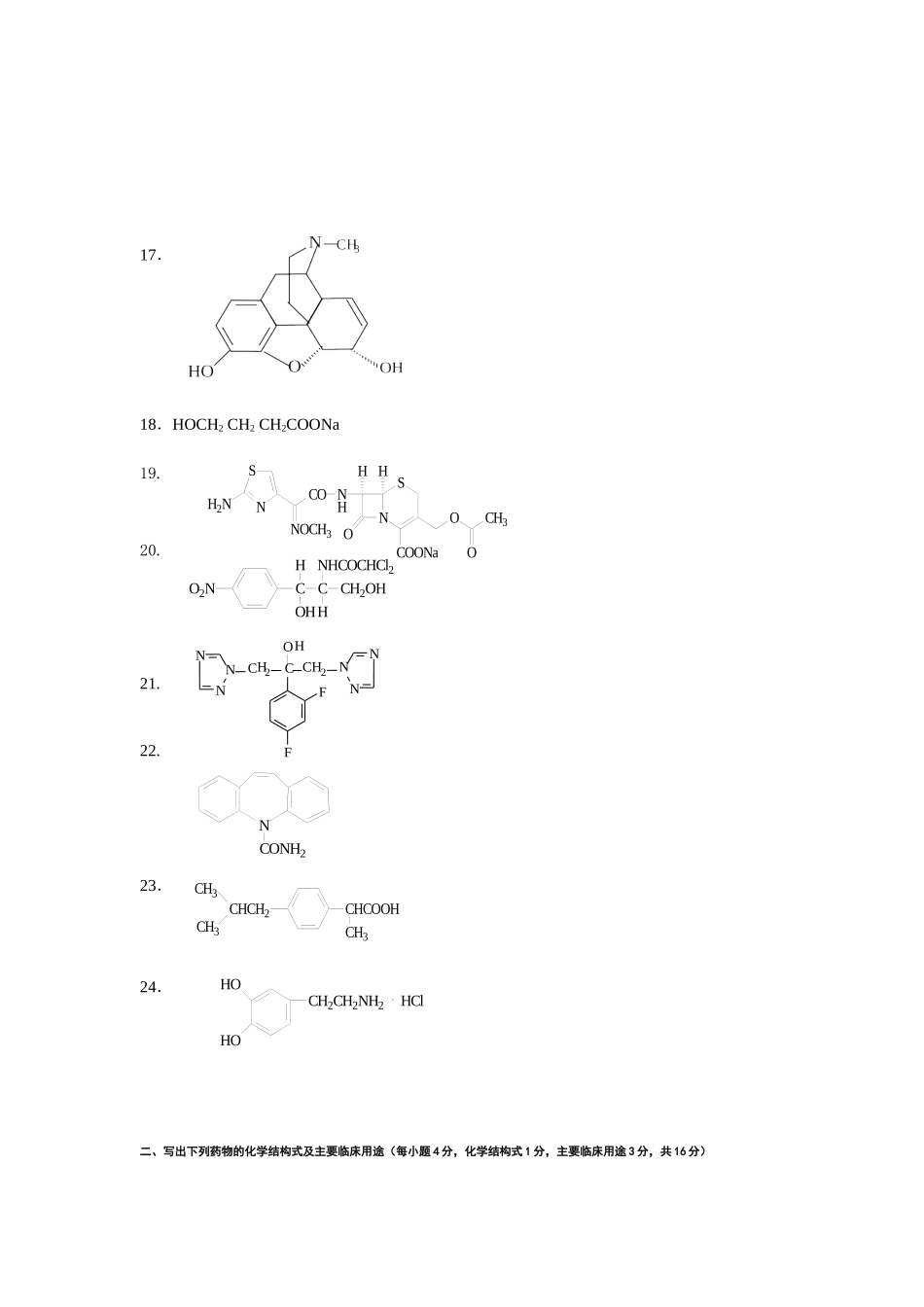
NHCH3OCl·HClONOClCH2CH2NCNHCH2CH2ClCHCH2NHCH(CH3)2OHHOHO09 秋药物化学期末自测题一、根据下列药物的化学结构写出其药名及主要临床用途( 每小题 2 分,共 20 分)药名 主要临床用途1. 2.3. 4.5. 6. 7. 8.9. HNNNOCOOHFNONCH3ClNNSO2NHH2NPtH3NH3NOCOCOOHClCCH2CH2 NOHCHCH2NHC(CH3)3OHHOHOCH2H2SO41/2OOHOOHHCOHHCH2OHN CH3OOCCHCH2OHC6H5HOHBr10. 11. 12. 13. 14.15. 16. NCH3COOC2H5HClOCH3OCHCH2CH2NNClCH3CH3CH COOHCH COOHClOCCH3CH3COOC2H5OHOCH3NNNCH2OHCCH2NNNFF17. 18.HOCH2 CH2 CH2COONa19. 20. 21. 22.23. 24. 二、写出下列药物的化学结构式及主要临床用途(每小题 4 分,化学结构式 1 分,主要临床用途 3 分,共 16 分)CHCOOHCH3CHCH2CH3CH3CCCH2OHHOHNHCOCHCl2HO2NNCONH2HOHOCH2CH2NH2HClNSOCH3NOHHOCOONaCONOCH3SNH2NH1.扑热息痛化学结构式: 主要临床用途: 2. 阿司匹林 化学结构式: 主要临床用途:3. 对氨基水杨酸钠 化学结构式: 主要临床用途:4.盐酸苯海拉明化学结构式: 主要临床用途:5. 尼群地平 化学结构式: 主要临床用途:6. 顺铂 化学结构式: 主要临床用途:7.氯贝丁酯化学结构式: 主要临床用途: 8. 硝苯地平 化学结构式: 主要临床用途:9. 氯丙嗪 化学结构式: 主要临床用途:10.硝苯地平化学结构式: 主要临床用途: 11. 诺氟沙星 化学结构式: 主要临床用途:12. 利多卡因 化学结构式: 主要临床用途:三、选择题(每题只有一个正确答案)(每小题 2 分,共 20 分)。1、抗过敏药马来酸氯苯那敏属于( )H1受体拮抗剂。 A、三环类 B、丙胺类C、氨基醚类 D、乙二胺类2、奥美拉唑为( )。 A、H1受体拮抗剂 B、H2受体拮抗剂C、质子泵抑制剂 D、ACE 抑制剂 3、下列药物中,( )为阿片受体拮抗剂。 A、吗啡 B、美沙酮C、纳洛酮 D、舒芬太尼4、下列药物中,( )以左旋体供药用。A、布洛芬 B、氯胺酮C、盐酸乙胺丁醇 D、盐酸吗啡5、烷化剂类抗肿瘤药物按化学结构不包括( )。A、喹啉羧酸类 B、乙撑亚胺类C、氮芥类 D、亚硝基脲类6、甲氧苄啶为( )。A、二氢叶酸合成酶抑制剂 B、二氢叶酸还原酶抑制剂C、磷酸二酯酶抑制剂 D、碳酸酐酶抑制剂7、下列药物中,( )不易被空气氧化。 A、肾上腺素 B、去甲肾上腺素C、多巴胺 D、麻黄碱8、维生素 B1的主要临床用途为( )。A、 防治脚气...

1、当您付费下载文档后,您只拥有了使用权限,并不意味着购买了版权,文档只能用于自身使用,不得用于其他商业用途(如 [转卖]进行直接盈利或[编辑后售卖]进行间接盈利)。
2、本站所有内容均由合作方或网友上传,本站不对文档的完整性、权威性及其观点立场正确性做任何保证或承诺!文档内容仅供研究参考,付费前请自行鉴别。
3、如文档内容存在违规,或者侵犯商业秘密、侵犯著作权等,请点击“违规举报”。

碎片内容

电大药学09秋《药物化学》期末自测题(1)-金色阳光人才

您可能关注的文档

确认删除?
VIP
微信客服
  • 扫码咨询
会员Q群
  • 会员专属群点击这里加入QQ群
客服邮箱
回到顶部